1 Instituto de Geociências, Universidade de São Paulo - USP, Rua do Lago 562, CEP 05508-080, São Paulo, Brasil.
arodrigoiriarte@gmail.com; ucordani@usp.br; kei@usp.br
2 Universidad Mayor de San Andrés (UMSA), Campus Universitario Cota Cota, Calle 27, La Paz, Bolivia.
*Corresponding author: arodrigoiriarte@gmail.com
The Cordillera Real granitoids are a suite of Triassic and Oligocene plutons in the core of the Eastern Cordillera of the Central Andes of Bolivia. Their tectonic setting, chemical and ore compositions make them part of the so-called “Inner Magmatic Arc”, which differs from the current “Magmatic Arc” located immediately to the west. U-Pb SHRIMP data were obtained in order to constrain crystallization ages. The Triassic group yielded the following results: 239±2 Ma for the Huato granite, 231±1 Ma for the Illampu granodiorite, 221±3 Ma for the Huayna Potosí granite and 223±2 Ma for the Taquesi granodiorite. For the Oligocene group we obtained ages of 27 Ma for two samples of the Quimsa Cruz granite. Secondary processes related to regional thermal anomalies and magmatic melt-enrichment, reset the K-Ar and U-Pb isotopic systems, producing: a) younger ages by Ar loss and b) anomalous data plot in the Concordia diagram by reorganization of U-Pb isotopic ratios. As noted in previous studies, most zircon analysed from the Zongo/Kuticucho Triassic granite exhibited extremely high U enrichment, producing reverse discordia curves that obscure the true crystallization age. Relatively abundant zircon inheritance was found in these “cold” granitoids, with ages suggesting provenance from early Paleozoic metapelites that also contained recycled older sources. This relatively abundant xenocrystic inheritance probably records the influence of the subduction process acting during the Gondwanide orogeny (336-205 Ma) as an overall subduction arc environment, punctuated at its final stage with the imprint of a continental rifting (245-220 Ma).
Keywords: Granitoids, U-Pb zircon age dating, Geochronology, SHRIMP, Central Andes.
1. Introduction
The Cordillera Real granitoids are located in the Eastern Cordillera of the Central Andes (Fig. 1). They are represented by eight syn-orogenic plutons, six of which are Triassic (~220 Ma) and the other two are Oligocene (~26 Ma) in age. The Triassic ones were emplaced along a rifted area that trends northwest towards SW Perú and coincides with the contemporaneous granitoids of the Carabaya Cordillera. This rift was widespread along the western border of the South American continent. The two Oligocene plutons were emplaced in a compressional regime, apparently related to subduction, coeval with uplifting of large plateaux (Altiplano and Puna), delamination of the lower crust and widespread mafic flows (Jiménez and López-Velásquez, 2008; Ramos, 2018). The country rocks for these anatectic granitoids are lower Paleozoic metapelites. Older basement crops out several hundred kilometers to the east (Rondonia-San Ignacio) and to the west (Arequipa-Antofalla). Along with these regional features, the chemical, mineral and ore compositions of this “inner magmatic arc” (Clark et al., 1990) are sharply different from the purely slab related magmatic arc of the Western Cordillera.
Fig. 1. Main morphostructural units of the Central Andes region, modified from Cordani et al., 2016. The rectangle shows the area included in figure 2.
|
One of the enigmas about the generation of granitic rocks is the precise time span of their emplacement. It has been shown by high precision geochronology that many plutons of batholithic size have been assembled in several magmatic pulses that can last several million years (e.g., Tuolumne suite, Coleman et al., 2004; the Altiplano Puna Magmatic Body, De Silva and Gosnold, 2007). However, thermal modelling, geophysical and rheological constrains preclude longer times for large amounts of magma to remain melted within the crust (Lundstrom and Glazner, 2016). In this context more precise geochronology studies are needed to understand this enigma and ultimately the development of the continental crust.
Geochronological studies have shown that the age of the Real Cordillera granitic suite is not easy to determine. K-Ar age determinations are complicated due to thermal anomalies that reset this isotope system during tectonic events in the Oligocene (McBride et al., 1987; Farrar et al., 1988, 1990). Nevertheless this method defined a cooling age of the Real Cordillera granitoids at 211 Ma (Grant et al., 1979; Evernden et al., 1977; McBride et al., 1983, 1987). Previous U-Pb zircon age dating have shown a long time interval for the crystallization age of this granitic belt (Gillis et al., 2006). These authors found age ranges varying from 217 to 273 Ma indicating the necessity of better constraint on the emplacement age of the granitoids. Cordani et al. (2019) indicated the difficulty of obtaining reliable crystallization ages for the Huayna Potosí and Zongo plutons. Using new U-Pb zircon dates measured in the SHRIMP II laboratory of the University of São Paulo (USP), we set the following two objectives: a) to constrain the crystallization ages of the other granitic plutons of the Real Cordillera to put the crystallization age of this “inner magmatic arc” in a regional context within the Central Andes and b) to obtain additional robust geochronological data for the Huayna Potosí and Zongo plutons to understand better the evolution of their crystallization.
2. Regional framework and geological history
The Central Andes is an orogenic belt of 4,700 km length located at the middle part of the western border of the South American continent (Fig. 1). It is limited to the north and to the south by the Northern and Southern Andes respectively and differs from them by the lack of accreted Phanerozoic terrains or obducted oceanic crust (Ramos, 2009). It includes the Central Volcanic Zone (CVZ) that is the actual volcanic chain of Holocene to modern age.
To the west, older rocks correspond to the Arequipa-Antofalla basement located at the southern part of Perú and northern Chile. Following Loewy et al. (2004) it is divided in three domains: the northern domain, with Paleoproterozoic ages of about 2.0 Ga, the central domain represented by metavolcanic and migmatitic rocks of Mesoproterozoic age of 1.2 Ga and the southern domain with Phanerozoic granitoids that range in age from 467 to 434 Ma. At the eastern side of the Andean orogen another group of older rocks crops out and forms the western border of the Amazonian craton: the Rondonian-San Ignacio Province (1.56-1.3 Ga, Litherland et al., 1989; Bettencourt et al., 2010) that corresponds to a composite orogen of accreted oceanic and continental terrains.
Retro-arc pelites to metapelites associated with the Famatinian magmatic arc of late Neoproterozoic to middle and late Devonian age are represented in the study area as Ordovician, Silurian and Devonian formations (Ramos, 2018).
Magmatism went on from the early Paleozoic to practically nowadays, with intraplate and peraluminous magmatic compositions characterizing the Eastern Cordillera and “pure arc type”, calc-alkaline and subduction related magmatism characterizing the Western Cordillera. This sharp difference is also compositional, with mostly “I-type” granitoids bearing Cu-Mo mineralization located to the west and mostly “S-type” granitoids bearing Sn-W mineralization located to the east (Burnham, 1979; Romer and Kroner, 2016). These contrasting geotectonic environments, mineralogy, chemical composition of magmas and ores, are the basis over which we follow the distinction made by Clark et al. (1990) in regard to differentiate the “Western Cordillera magmatic arc” from the “Eastern Cordillera inner magmatic arc”. For these authors, the petrochemical assemblages are essential for the distinction between these two domains. The Main Arc, located under the Cordillera de la Costa and the entire Western Cordillera, is considered ultimately of mantle origin with several proportions of assimilated middle and upper crust, meanwhile the Inner Arc, restricted to the Eastern Cordillera of SE Perú and NW Bolivia, has been mainly formed by extensive anatexis of early Paleozoic metapelites.
3. Geological descriptions for the granitic plutons of the Cordillera Real
The felsic plutons of the Real Cordillera comprise granites, granodiorites, monzogranites and tonalites with minor quartz-diorites, aplites and pegmatites. The Huato, Illampu, Yani, Huayna Potosí, Zongo and Taquesi plutons are Triassic, whereas Illimani, Quimsa Cruz and Santa Vera Cruz are Oligocene (Fig. 2). Some bear two micas (Huato, Illampu, Huayna Potosí and Zongo) and are metaluminous to peraluminous in composition (Ávila, 1990; Jiménez and López-Velásquez, 2008; Cordani et al., 2019). They commonly bear 0.1-0.5 m rounded mafic enclaves of quartz-diorite. Aplites and pegmatites cut the granites and granodiorites. Near the contacts with the country rocks there are pegmatites 1-2 m thick, usually with greisen halos of Mo, Sn and W mineralization (Fabulosa and Chojlla mines). The country rocks consist of metapelites, hornfels, mica schists, sandstones and siltstones of the Silurian Catavi and Uncia and the Ordovician Amutara and Coroico formations. Hornfelses form the contact aureoles, although schists bearing mica, cordierite, sillimanite and garnet are present along the eastern edges of the Illampu, Yani and Zongo plutons (Bard et al., 1974). Concise description of the sampled granitoids follow: sample locations are shown in figure 2.
Fig. 2. Distribution of the plutons included in this work along the Cordillera Real and location of the analyzed samples.
|
3.1. Huato granite
This pluton is located in the northern part of the Real Cordillera. It has an ellipsoidal shape with a dimension of 19x11 km. In the northern part of the pluton, towards its western border, the granite shows an equigranular texture of ca. 0.5 cm quartz, feldspar and biotite crystals. Muscovite appears in the assemblage towards the centre of the pluton. Feldspar shows alteration to sericite. The country rocks are hornfels and slates with millimetric veins of quartz and pyrite. A sample of the Huato granite (RIB-27) was taken in the north along the road from Charazani to Apolo.
3.2. Illampu batholith
The Illampu batholith is the largest of the Triassic granitoid bodies. It has an elongated shape with a length of 50 km and about 14 km width. Three units were distinguished: granodiorites and tonalites in the north, adamelites in the middle and granites to the south. Enclaves of quartz-diorites are common. Aplites and mineralized pegmatites are common towards the south. One sample of granodiorite (RIB-33) and one of quartz-diorite enclave (RIB-32) were taken from the northern unit. The granodiorite has quartz, feldspar, hornblende and biotite with clots of biotite and amphibole up to 5 cm long. The quartz-diorite enclave is rounded and quite mafic (abundant biotite, amphibole and iron oxides) with some crystals of subhedral quartz and feldspar. A further sample, of a two-mica granite (RIB-15) was taken in the southern part of the batholith (Fig. 2). The sample is quite felsic, exhibiting large euhedral crystals of feldspar (2-4 cm long), smaller quartz and biotite crystals and a lesser amount of muscovite. Sometimes it is possible to recognize garnet (up to 0.5 cm) in these granites.
3.3. Huayna Potosí granite
The Huayna Potosí pluton has an irregular, almost rectangular, shape with dimensions of 16x5 km. The rock is fresh and is generally two-mica granite with quartz, feldspar, biotite and muscovite, with lesser amounts of sericite and sometimes tourmaline. Aplites cutting the granite are widespread. It is also common to find rounded mafic enclaves 1 to10 cm long of quartz-diorite. Samples from the SW edge of this pluton are RIB-2, RIB-4, RIB-19 and RIB-22 (granites), and RIB-20 (granodiorite).
3.4. Zongo granite
The Zongo granite occurs to the northwest of the Huayna Potosí pluton. It also has an irregular shape and is cut by several systems of NW-striking faults. It is noticeably folded, showing oriented crystals 1 to 10 cm long of quartz, K-feldspar and two micas. In some outcrops the texture seems to vary gradually to coarsely pegmatitic. Towards the northern contact with the country rock, mica schists with porphyroblasts of cordierite up to 10 cm long define a metamorphic aureole. Two granitic facies were recognized in this pluton (McBride et al., 1987): the foliated Kuticucho located to the SW and the non-foliated and equigranular Sainani to the NE. Two samples from the foliated Kuticucho facies were taken for this study, samples RIB-5 and RIB-30.
3.5. Taquesi granodiorite
The Taquesi granodiorite has a regular elliptical shape with dimensions of 15x9 km, with the longest axis following the NW trend of the cordillera. Granodiorites bearing quartz-diorite enclaves, along with tonalites, two-mica granites and aplites are characteristic of this pluton. Towards the SW rim the granodiorites have an equigranular texture made of crystals 1 to 2 cm long of quartz, feldspar, biotite and iron oxides. At its SW border, the country rock is a Silurian hornfels. Samples RIB-11 and RIB-12 from a granodiorite and a quartz-diorite enclave, respectively, were taken from this pluton.
3.6. Quimsa Cruz batholith
The Quimsa Cruz is an ellipsoidal batholith in the south of the Real Cordillera. It has a dimension of 35x13 km. Along with the Illimani pluton and the Cohoni volcanic and pyroclastic formation it forms the southern Oligocene band of the Real Cordillera belt. The Geological Service of Bolivia recognized two facies in this batholith: porphyritic granites and granodiorites to the north and equigranular granodiorites to the south (Geobol, 1968). Fractures affect this granite, filled by centimetric to metric scale vein mineralization of W-Sn and Fe-S, with a general E-W strike. K-Ar dating distinguishes this rock from the Triassic granites, yielding ages of 25 to 23 Ma (Evernden et al., 1977; McBride et al., 1983; Gillis et al., 2006). Two samples of fresh granite were taken: one to the west close to the Viloco mine (RIB-43) and other to the SE closer to the Pacuni mine (RIB-46).
4. Previous age dating
Early K-Ar geochronological studies on the age of the granitic magmatism of the Cordillera Real of Bolivia are summarized in table 1. Ages show wide ranges (e.g., 180-190 and 60-40 Ma), a characteristic observed also in the Carabaya granites (Kontak et al., 1990). This led to several studies (Kontak et al., 1990; McBride et al., 1987; Sandeman et al., 1995; Ramos, 2018) to define the Zongo-San Gabán regional thermal anomaly that opened the K-Ar isotopic system to Ar loss by heating associated with thrusting of the Andean orogeny.
McBride et al. (1987) defined systematic Ar loss in some profiles that cut the granites of the Zongo pluton. The apparent ages range from 210 to 39 Ma through a horizontal distance of 14 km and a vertical difference of almost 1.5 km. In the same study, a biotite yielded a well-defined Ar/Ar plateau of 39 Ma. They associated this descend in K-Ar ages with opening of the isotopic system (250-350 °K) due to regional Andean back-thrusting, with the biotite of 39 Ma recording this thermal event.
Farrar et al., 1990 were the first in study the Zongo granite using the U-Pb method in zircon and also described the K-Ar age decrease of the micas of this pluton. The age obtained for the Zongo/Kuticucho granite was 222.2+7.7/-9.1 and for the Zongo/Sainani granite was 225.1 Ma +4.1/-4.4, both recording an important inherited zircon component of Proterozoic age. Following the work of McBride et al. (1987), Farrar et al. (1988) defined the “cryptic tectonothermal zone” between the Carabaya and Real cordilleras at 39 Ma, calling it as the “Zongo-San Gabán Zone” (ZSGZ).
Gillis et al. (2006) studied the effects of the thermal anomaly associated to the uplift of the cordillera using Ar/Ar modelling in micas as well as fission track ages in apatites. They found a good 49Ar/30Ar age with a well-defined plateau for the Huayna Potosí pluton that yielded an age of 218±4 Ma. They also determined large intervals of U-Pb crystallization ages for the Triassic plutons (e.g., 249 to 218 Ma for the Huayna Potosí granite and 251 to 226 Ma for the Illampu batholith) and an age for the Oligocene Quimsa Cruz pluton at 26 Ma.
More recently U-Pb zircon dating for the Huayna Potosí and Zongo granites (Cordani et al., 2019) also yielded large ranges of zircon crystallization ages for the Huayna Potosí (240 to 220 Ma) along with anomalous U-rich zircons of the Zongo pluton, associating them with protracted pluton crystallization and a final event of U enrichment.
5. U-Pb SHRIMP zircon analyses
U-Pb dating was made in the Sensitive High Resolution Ion Microscope (SHRIMP IIe) of the Laboratory of the University of São Paulo, Brazil. Samples were crushed, milled and sieved. Then zircon crystals were concentrated from magnetic fractions using a Franz magnetic separator and then purified using bromoform and methylene iodide following standard laboratory steps. Then zircon mounts were prepared and cathode luminescence imaging (CL) was obtained with a FEI Quanta 250 Scanning Electron Microscope (SEM) and XMAX CL detector (Oxford Instruments) to reveal inner structures. SHRIMP analyses were run on single zircon crystals. U abundance and U/Pb ratios were calibrated against Z6266 and TEMORA II (416.78 Ma) standards. Pooled ages are weighted mean 206Pb/238U dates. Common Pb was corrected using the measured abundance of 204Pb. On tables 2A to 2O, errors on isotopic ratios are given as percentage and error on ages are reported as 1 sigma. The typical error component for the 206Pb/238U ratios was lower than 2%. Then isotopic ratios were reduced using the SQUID 2.5 software and Concordia diagrams were made using the software Isoplot 4 (Ludwig, 2009). Further technical and acquisition data processing are described in Williams (1998) and Sato et al. (2014).
5.1. U-Pb zircon ages
The location of the collected samples is displayed in figure 2. Analytical results are shown in tables 2A to 2O and U-Pb Concordia curves are shown in figures 4 to 20. For the calculation of Concordia ages, we selected U-Pb ages younger than 300 Ma and discordances of less than 10%. Discordant spots with large error were also excluded. Selected spots for individual Concordia age calculation are displayed on the figure captions (Figs. 6 to 16) and in bold on tables 2A to 2O. CL images of the representative analysed zircon crystals are shown in figure 3. A summary of Concordia ages, MSWD values and associated errors at 1 and 2 sigma and 95% confidence is presented in table 3.
Fig. 3. Cathodoluminescence images of zircons from the analyzed samples with spot sites and 238U/204Pb ages.
|
The Huayna Potosí samples (RIB-2 and RIB-4), belonging to the same pluton, and studied previously by Cordani et al. (2019), are a good example of a sample of Cordillera Real granitoids displaying a composite range of ages (Figs. 4 and 5). In the case of RIB-2, the U-Pb zircon ages range from 217 to 257 Ma. This wide range of ages does not allow a single crystallization age to be obtained (e.g., Isoplot software cannot calculate Concordia age, Fig. 4). When displaying the Concordia ages in a histogram plot, peaks are observed at 220 and 240 Ma (histogram in inset of figure 4, see also Cordani et al., 2019). The CL image shows prismatic zircon crystals always with oscillatory zoning and some with dark rims (Fig. 3). Xenocrystal inheritance ages related to detrital zircon ranges from 312 to 1,186 Ma. Given this wide range, concordant spots were selected to calculate Concordia ages (Fig. 6). In the case of the younger population of sample RIB-2, a Concordia age of 221±3 Ma (2σ) was obtained. For the older population, a Concordia age of 248±4 Ma (95% confidence) was also obtained.
Fig. 4. Concordia diagram with entire dataset of sample RIB-2 (Huayna Potosí granite, see table 2E) with histogram of Concordia ages in the inset. Spot sites with large errors or discordance >10% were excluded from Concordia age calculation and are shown as grey ellipses. Magmatism is recorded continuously by means of zircon ages from nearly 250 to 220 Ma. This large interval of ages does not allow Isoplot software to calculate a single Concordia age. Two groups can be distinguished at around 240 and near 220 Ma, respectively.
|
Fig. 5. Concordia diagram with entire dataset of sample RIB-4 (Huayna Potosí granite, see table 2F) with histograms of Concordia ages in the inset. Spot sites with large errors or discordance >10% were excluded from Concordia age calculation and are shown as grey ellipses. Magmatism is recorded continuously by means of zircon ages from nearly 290 to 215 Ma. This large interval of ages does not allow Isoplot software to calculate a single Concordia age. Two groups can be distinguished at 220 and 240 Ma with spots at around 270 Ma considered as “early antecrysts”.
|
Fig. 6. Concordia diagrams for sample RIB-2 (Huayna Potosí granite) displaying two calculated Concordia ages. For the younger age (A), four spot sites were chosen (8.1, 6.1, 10.1, and 13.1) displayed as bold text in table 2E. For the older age shown below (B), seven spots were chosen (22.1, 15.1, 3.1, 21.1, 17.1, 2.1 and 24.1) displayed also as bold text on table 2E. Grey ellipses were excluded from the age calculation and the light blue ellipses correspond to the calculated Concordia ages.
|
For sample RIB-4, the U-Pb zircon ages range from 215 to 265 Ma. This sample also shows a wide range of ages in the histogram inset of figure 5. It can be seen in the CL images (Fig. 3) that zircons present dark U-rich rims, some almost completely dark with small bright U-poor cores (e.g., RIB4-17.1 and RIB4-25.1). Presumed xenocrysts yielded ages of 362, 468, 1364, 1655, 2026 and 2070 Ma. Given also the wide range of ages, two populations were separated to obtain concordant ages (Fig. 7). For the younger population a Concordia age of 223±3 Ma (95% confidence) was obtained. For the older population a Concordia age of 244±3 Ma (95% confidence) was calculated. Rejected spot were 10.1 for having large error and 18.1 and 13.1 (with U/Pb of 263 and 265 Ma, respectively) that we considered as “early antecrysts”.
Fig. 7. Concordia diagrams for sample RIB-4 (Huayna Potosí granite) displaying two Concordia ages. For the younger age (A), six spot sites were chosen (26.1, 8.1, 9.1, 1.1, 2.1 and 3.1) displayed as bold text in table 2F. For the older age shown below (B), five spots were chosen (14.1, 17.1, 22.1, 16.1 and 25.1) displayed also as bold text in table 2F. Grey ellipses were excluded from the age calculation and the light blue ellipses correspond to the calculated Concordia ages.
|
Sample RIB-19 presented U-Pb zircon ages ranging from 213 to 235 Ma. The CL image shows prismatic crystals with oscillatory zones some with dark rims and an appearance similar to sample RIB-2. An inherited core of 600 Ma rimmed by a younger edge of 222 Ma was measured in spots RIB19-10.1 and RIB19-10.2 respectively. For the calculation of the Concordia age (Fig. 8) the selected spots yielded a Concordia age of 226±1 Ma (2σ). Spots 6.1, 2.2 and 3.1 that defined a younger Concordia age of 214 Ma were rejected for having large analytical error.
Sample RIB-20 presented U-Pb zircon ages ranging from 216 to 251 Ma. CL image shows prismatic crystals with oscillatory zoning some with darker rims and domains (Fig. 3). Two xenocrystal zircon grains yielded discordant ages of 454 and 1413 Ma. For the age calculation (Fig. 9) the selected spots yielded a Concordia age of 231±3 Ma (95% confidence).
Sample RIB-22 presented U-Pb zircon ages ranging from 214 to 242 Ma. Three xenocrystal zircon grains yielded ages of 500, 733 and 759 Ma. For the age calculation (Fig. 10) the selected spots yielded a Concordia age of 227±2 Ma (95% confidence). We also obtained an older Concordia age of 238±2 Ma using spots 9.1, 5.1 and 15.1. Then this sample also shows the bimodal distribution of samples RIB-2 and RIB-4.
Fig. 9. Concordia diagram for sample RIB-20 (Huayna Potosí granodiorite). Ten zircon spot sites were chosen for the Concordia age calculation (8.1, 10.1, 6.1, 3.1, 1.1, 5.1, 2.1, 14.1, 4.1 and 7.1), displayed as bold text in table 2H. Grey ellipses were excluded from the age calculation and the light blue ellipse corresponds to the calculated Concordia age.
|
Fig. 10. Concordia diagram for sample RIB-22 (Huayna Potosí granite). Eleven zircon spot sites were chosen for the Concordia age calculation (18.1, 8.1, 3.1, 6.1, 10.1, 14.1, 12.1, 11.1, 4.1, 7.1 and 1.1). Three spots (9.1, 5.1 and 15.1) defined an older age of 238 Ma. These chosen spots are displayed as bold text in table 2I. Grey ellipses were excluded from the age calculation and the light blue ellipse corresponds to the calculated Concordia age.
|
For the Kuticucho facies of the Zongo pluton, two granitic samples were dated, both presenting clear deformation shown by the orientation of quartz, K-feldspar, biotite and muscovite. One of them (RIB-5) was already considered by Cordani et al. (2019). For this sample, the U-Pb zircon ages range from 220 to 291 Ma. CL images for dated zircons are presented in figure 3, having dark rims surrounding relictic bright cores. The low Th/U ratios probably yielded a reverse Discordia line forced through the origin (Fig. 11), with a poor constrained lower intercept at 222±25 Ma. Inheritances are abundant especially as bright cores that yielded ages of 333, 1020, 1503, 1638 and 1,824 Ma (Fig. 3). For sample RIB-30, the U-Pb zircon ages range from 216 to 298 Ma also generating a reverse Discordia with a poor constrained lower intercept at 240±28 Ma. This sample displays crystals with dark domains, some of them completely dark, similar to sample RIB-5. This dark rims on zircons, reflecting high U also yielded a reverse discordance as the sample RIB-5 (Fig. 11). However, some of the crystals do not have these dark domains and show instead a normal oscillatory zoning (spots RIB30-3.1, RIB30-17.1 and RIB30-18.1 and RIB30-19.1). Xenocrystic zircons yielded 1,451 and 2,323 Ma.
Fig. 11. Concordia diagram for samples RIB-5 (top) and RIB-30 (bottom) of Zongo/Kuticucho granite. Both samples from the same granite, display a reverse Discordia line above the Concordia curve. This feature might be related to damage in the zircon crystal lattice (Kusiak et al., 2013). Fifteen spots were chosen for the RIB-5 (1.3, 12.1, 11.2, 6.2, 21.1, 9.2, 20.1, 19.1, 16.1, 17.1, 14.1, 13.1, 18.1, 10.2 and 15.1), meanwhile 13 were chosen for the RIB-30 (15.1, 12.1, 11.1, 14.1, 9.1, 4.1, 10.1, 5.1, 7.1, 8.1, 2.1, 13.1 and 6.1). These chosen spots are displayed as bold text in tables 2J and 2K, respectively.
|
For the Taquesi pluton, two samples were analysed. One of these is a typical granodiorite (RIB-11) and the other is a mafic enclave (RIB-12) extracted from the same rock. For the RIB-11 sample, the U-Pb zircon ages range from 218 to 230 Ma. Only one zircon xenocryst was found, with an age of 573 Ma. For the calculated age (Fig. 12) selected spots yielded a Concordia age of 223±3 Ma (95% confidence). On the RIB-12 mafic enclave, the U-Pb zircon ages range from 213 to 233 Ma. As seen in sample RIB-11, the CL images of zircon crystals show prismatic habits, with oscillatory zoning, some of them showing dark rims and domains. The only xenocryst analyzed yielded an age of 530 Ma. For the age calculation (Fig. 13) the selected spots yielded a Concordia age of 228±1 Ma (2σ).
Fig. 12. Concordia diagram for sample RIB-11 (Taquesi granodiorite). Seven zircon spot sites were chosen for the Concordia age calculation (9.1, 8.1, 6.1, 7.1, 10.1, 4.1 and 1.1), displayed as bold text in table 2L. Grey ellipses were excluded from the age calculation and the light blue ellipse corresponds to the calculated Concordia ages.
|
Fig. 13. Concordia diagram for sample RIB-12 (Taquesi quartzdiorite enclave). Nine zircon spot sites were chosen for the Concordia age calculation (7.1, 3.1, 14.1, 4.1, 5.1, 12.1, 6.1, 15.1 and 8.1), displayed as bold text on table 2M. Grey ellipses were excluded from the age calculation and the light blue ellipse corresponds to the calculated Concordia age.
|
For the RIB-27 sample of the Huato granite, the U-Pb zircon ages range from 213 to 249 Ma. Some of the zircon crystals measured have low Th/U ratios (lower than 0.1). Some dark domains are also present in the CL images. Two xenocrystal zircons (spots RIB27-11.1 and RIB27-13.1) reported ages of 610 Ma and 790 Ma. For the age calculation (Fig. 14) selected spots yielded a Concordia age of 239±3 Ma (95% confidence). Spots 1.1, 11.1, 12.1 were rejected for because of their large error.
Fig. 14. Concordia diagram for sample RIB-27 (Huato granite). Nine zircon spot sites were chosen for the Concordia age calculation (4.1, 2.1, 14.1, 8.1, 7.1, 6.1, 5.1, 9.1 and 3.1), displayed as bold text on table 2A. Two spots (12.1 and 11.1) define a younger age of 216 Ma, however they were rejected due their large error ellipses. Grey ellipses were excluded from the age calculation and the light blue ellipse corresponds to the calculated Concordia age.
|
For the Illampu batholith three samples were analysed. One is a typical granodiorite (RIB-33) of the northern part, the other is a mafic enclave (RIB-32) hosted by this granodiorite and the third sample (RIB-15) comes from a two mica granite located to the southern part of the batholith. For the RIB-33 granodiorite the U-Pb zircon ages range from 227 to 233 Ma. In the CL image (Fig. 3), all zircons have prismatic habit with well-developed oscillatory zoning. Th/U ratios are generally magmatic (table 2C). No inheritance was measured in this sample. For the calculated age (Fig. 15), selected spots yielded a Concordia age of 231±1 Ma (2σ). For the RIB-32 enclave, the U-Pb zircon ages range from 232 to 236 Ma. The CL images show some zircon crystals with oscillatory zoning but also with massive or irregular core suggesting for the cores a xenocrystic or antecrystic origin (see for instance Corfu et al., 2003). For the calculated age (Fig. 16), the selected spots yielded a Concordia age of 234±1 Ma (2σ). For the RIB-15 granite, the U-Pb zircon ages range from 222 to 242 Ma. As in the case of the two-mica granites of the Huayna Potosí pluton, it also shows a wide range of Concordia ages (histogram inset in Fig. 17), suggesting also a protracted age interval for these granites. The CL image displays prismatic zircon crystals with oscillatory zoning, some with dark rims as it was observed in the zircons from the Huayna Potosí granite. Xenocrystal zircon yielded ages of 471, 583, 645, 1073, 1937 and 2132 Ma. For the age calculations, as we did on samples RIB-2 and RIB-4 two groups were differentiated (Fig. 18). Selected spots yielded a younger Concordia age of 227±2 Ma (2σ). A second group of selected spots yielded an older Concordia age of 240±2 Ma (2σ).
Fig. 15. Concordia diagram for sample RIB-33 (Illampu granodiorite). Eleven zircon spot sites were chosen for the Concordia age calculation (5.1, 10.1, 4.1, 2.1, 11.1, 9.1, 7.1, 1.1, 6.1, 3.1 and 8.1), displayed as bold text on table 2C. Grey ellipses were excluded from the age calculation and the light blue ellipse corresponds to the calculated Concordia age.
|
Fig. 16. Concordia diagram for sample RIB-32 (Illampu quartzdiorite enclave). Twelve zircon spot sites were chosen for the Concordia age calculation (15.1, 11.1, 5.1, 14.1, 3.1, 4.1, 8.1, 9.1, 16.1, 12.1, 6.1 and 7.1), displayed as bold text on table 2B. Grey ellipses were excluded from the age calculation and the light blue ellipse corresponds to the calculated Concordia age.
|
Fig. 17. Concordia diagram with entire dataset for sample RIB-15 (Illampu granite, see table 2D) with histograms of Concordia ages in the inset. As it was observed on the samples of the Huayna Potosí, magmatism is recorded continuously by means of zircon ages from nearly 240 to 220 Ma. This large age interval does not allow Isoplot software to calculate a single Concordia age. Two groups can be distinguished at 240 and near 220 Ma.
|
Finally, two samples (RIB-43 and RIB-46) were dated from the Quimsa Cruz granite. Sample RIB-43 presented U-Pb zircon ages ranging from 26 to 28 Ma. Zircon CL images show prismatic zircons with well-developed oscillatory zoning (Fig. 3). Xenocrystal zircon grains have ages of 34, 324 and 600 Ma. Spots used to calculate the age (Fig. 18) yielded a Concordia age of 27±0.2 Ma (2σ). Spot 4.1 with U-Pb age of 33.7 Ma was considered a xenocrystal. Sample RIB-46 presented U-Pb ages ranging from 26 to 30 Ma. Its CL image shows prismatic zircons with well-developed oscillatory zoning similar to sample RIB-43. Xenocrystal zircons have ages of 1608 and 1655 Ma. Spots used to the calculate age (Fig. 19) yielded a Concordia age of 27±0.2 Ma (2σ). This younger Oligocene pulse of felsic magmatism yielded good analytical quality results, possibly related to the good looking appearance of its prismatic oscillatory zoned zircons, almost without dark domains (Fig. 3).
Fig. 18. Concordia diagrams for sample RIB-15 (Illampu granite) displaying two calculated Concordia ages. For the younger age shown on top (A), Six spot sites were chosen (12.1, 6.1, 11.2, 4.1, 1.1 and 7.2) displayed as bold text on table 2D. For the older age shown below (B), 5 spots were chosen (3.1, 2.1, 8.2, 5.1 and 14.2) displayed also as bold text on table 2D. Grey ellipses were excluded from the age calculation and the light blue ellipses correspond to the calculated Concordia ages.
|
Fig. 19. Concordia diagram for sample RIB-43 (Quimsa Cruz granite). Thirteen zircon spot sites were chosen for the Concordia age calculation (15.1, 12.1, 7.1, 1.1, 9.1, 5.1, 2.1, 13.1, 10.1, 8.1, 6.2, 11.1 and 3.1), displayed as bold text on table 2N. Grey ellipses were excluded from the age calculation and the light blue ellipse corresponds to the calculated Concordia age.
|
Fig. 20. Concordia diagram for sample RIB-46 (Quimsa Cruz granite). Fourteen zircon spot sites were chosen for the Concordia age calculation (3.1, 8.2, 8.1, 6.1, 13.1, 5.1, 12.1, 11.1, 4.1, 11.2, 7.1, 9.1, 2.2 and 1.1), displayed as bold text on table 2O. Grey ellipses were excluded from the age calculation and the light blue ellipse corresponds to the calculated Concordia age.
|
5.2. Zircon inheritance and saturation temperature-
From the zircon CL images shown in figure 3, all studied granitic plutons present a significant amount of inherited zircon grains that record U-Pb ages older than 250 Ma. Tables 2A to 2O, show the existence of xenocrystal grains with ages from 330 to 2300 Ma. This is not dissimilar to other zircon age distributions found in Ordovician pelites from other localities of the Eastern Cordillera (e.g., Bahlburg et al., 2011). However, some Proterozoic grains (found in the Zongo/Kuticucho granite) are distinctive of the Cordillera Real. Considering that the country rocks for the studied granitoids are metapelites of Ordovician and Silurian formations, which may also have recycled older sources, it is noticeable that some zircon ages range from 300 to 400 Ma. The zircon grains that yield these ages have low Th/U ratios, and probably reflect some degree of U enrichment. A few of the grains record ages older than 2.2 Ga, and this age was also found nearby in the Amutara and Coroico (Ordovician) formations (Reimann et al., 2010).
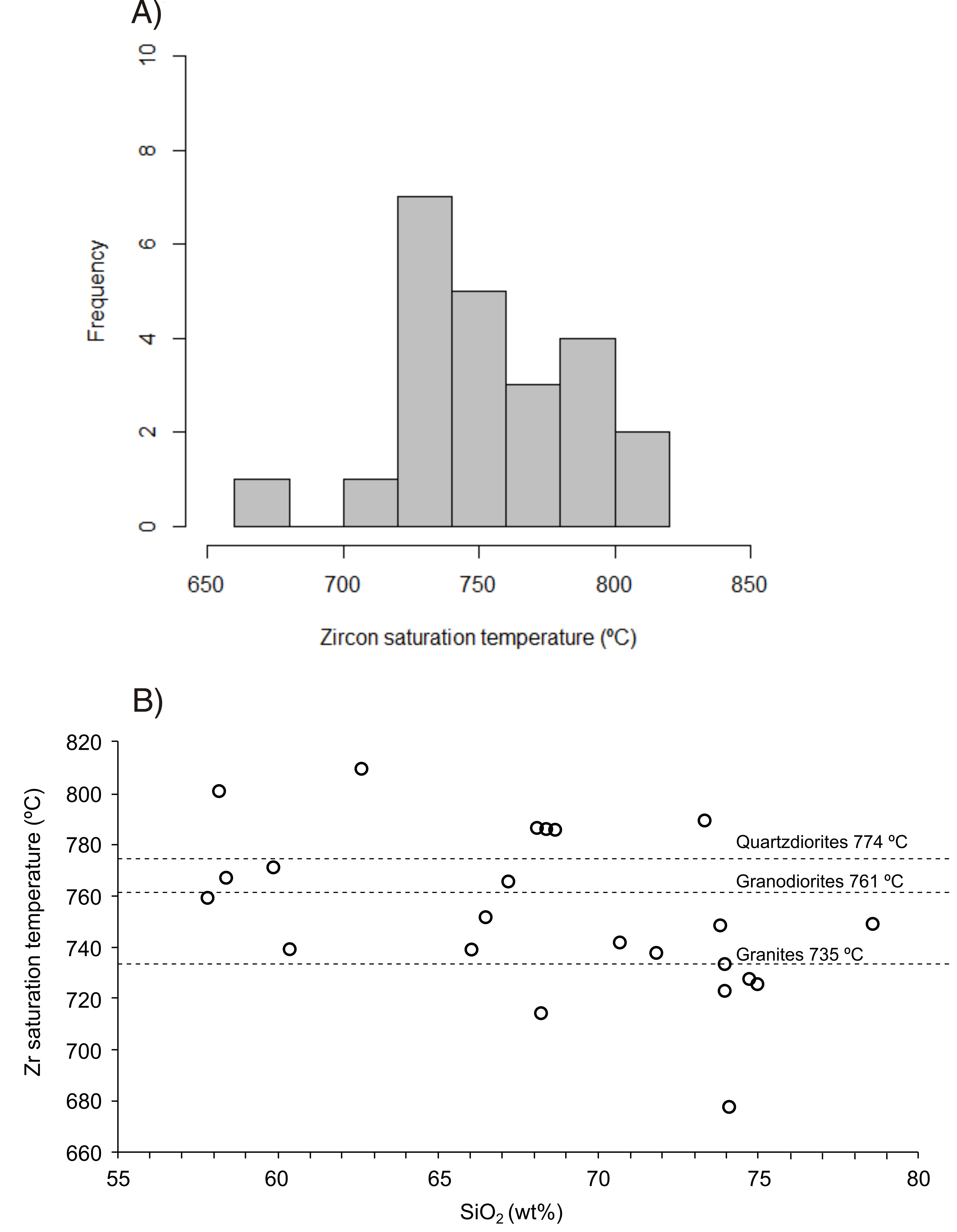
The zircon saturation temperature model of Watson and Harrison (1983) provides a good way to estimate temperatures and compositions at which magmas saturate in Zr and therefore crystallize zircon. Granites with high amount of inheritance have been termed as “cold granites” by Miller et al. (2003) that described them as melts that do not reach temperatures sufficient to dissolve xenocrystal zircon, therefore showing high population of inheritance and less newly formed zircon autocrysts. These inherited xenocrysts saturate the melts in Zr at their sources; therefore, the temperatures obtained for this method are the upper limits for magmatic temperatures. Following the study of Miller et al. (2003), the assumed maximum temperature for cold granites is 766 ºC. Table 4 displays the “M values”, associated to the whole rock composition and the Zr saturation temperatures calculated for the Huayna Potosí and Illampu plutons, using the software GCDkit 5.0. It is shown in table 4 and in figure 21, which displays a histogram of zircon saturation temperatures and a diagram of these temperatures versus SiO2. The mean calculated Zr saturation temperatures are 735 °C for granites, 76 °C for granodiorites and 774 °C for quartz-diorites.
The quartzdiorite enclaves of the Illampu and Taquesi granodiorites both yielded slightly older ages than their hosts. This can be explained by the zircon saturation temperatures discussed above, where higher temperatures are needed for mafic magmas to saturate in Zr (Siégel et al., 2018). Therefore, it is possible that the enclaves simply did not crystallize zircon and probably host antecrystal zircons from older pulses.
6. Discussion
6.1. Magmatic pulses
The main goal of this paper is to obtain a better knowledge of the crystallization age of the Cordillera Real granitoids. However, as it can be seen in the Concordia diagrams of figures 4 to 20, it is not an easy task to obtain a single Concordia age to constrain the crystallization of these plutons.
At the larger regional scale we should consider the longevity of granitoid formation in continental arcs. Magmatism above subduction zones (melts, mushes, etc.) is episodic in space and time, at scales ranging from entire arcs to simple volcanoes. To study the temporal histories of magmatic arcs, several hundred (or more) U-Pb zircon measurements may be needed.
A large number of ages recording the periodicity of large arc-related magmatic systems has been documented along the western coast of the American continent (Paterson and Ducea, 2015). Time intervals for Mesozoic magmatic and bedrocks average 60-70 Ma, while for Cenozoic rocks the average is 20-30 Ma. For the case of the well studied and purely slab-related Sierra Nevada Batholith, a period of 72 Ma during the Triassic was found. In this context, relatively short time intervals of high magma addition rates are termed “flare-ups”. A well documented flare-up has been studied by De Silva and Gosnold (2007) in the Central Andes, known as the Altiplano Puna Volcanic Complex (APVC), which lasted 10 Ma and implies the construction of a batholith over that interval of time. These magmatic pulses and their protracted character is also supported by geochronological, geophysical, field and thermodynamic evidence, implying that plutons of batholithic size accumulate in several pulses over protracted time intervals (Glazner et al., 2004). Following their model, a “regular” magma chamber of 5 km thick and 20 km wide, at 900 ºC and a normal gradient of 20 ºC/km will be completely crystallized in less than 1 Ma.
In our case, we have a long-lasting subduction system during the Gondwanide orogeny that started at 336 to 285 Ma (early stage) and ended at 230 to 205 Ma (late stage, Ramos, 2018). The wide range of observed zircon ages from 200 to 280 Ma for these cool magmas suggests the presence of antecrysts produced in earlier flare-up pulses of a protracted magmatic arc (Paterson and Ducea, 2015). From the previous Concordia plots (Figs. 4 to 18), we believe that our plutons may record a final crystallization episode, in which pre-existing zircon crystals formed during former magmatic pulses are present. These zircon antecrysts may not have been reabsorbed due to the low temperature of these “cool magmas” (section 5.2), although their CL images (Fig. 3) show that they are indistinguishable from the new zircon crystals, formed during the final crystallization episode.
In order to visualize better this magmatic pulses, the Concordia ages obtained in our study (Figs. 4 to 20), were used to elaborate the figure 22 that displays histogram plots and respective kernel density curves, calculated using the software R (R Core Team, 2020)1. For the case of the Huato pluton, the 11 Concordia ages of sample RIB-27 were used. For the case of the Illampu pluton samples RIB-32, RIB-33 and RIB-15 were combined (n=34). For the Taquesi pluton, we combined samples RIB-11 and RIB-12 (n=16). For the case of the Huayna Potosí pluton, samples RIB-2, RIB-4, RIB-19, RIB-20 and RIB-22 were combined (n=59). The few zircon ages that range from 260 to 280 were considered as early Gondwanide zircons and ages older than 400 Ma were rejected as we considered them as xenocrysts derived from the country rocks. Although subtle, two predominant peaks seem to appear on the populations of these four plutons.
In figure 23, two histograms display all measured Triassic and Oligocene Concordia ages. For the case of the Quimsa Cruz pluton, the two samples (RIB-43 and RIB-46) were combined, n=29. The age range suggests a main magmatic pulse from 28 to 25 Ma, with an early “antecrystic” population at 29-30 Ma. In the case of the Triassic ages, a protracted range of 60 Ma is displayed, possibly characterized by two pulses at 220 and 235 Ma.
Fig. 23. Probability density plot of Concordia ages of the Triassic and Oligocene (Quimsa Cruz) plutons from the Cordillera Real showing number of samples (n) and in red the kernel density curves.
|
Although it is tempting to constrain these two peaks of Concordia ages at 220 and 235 Ma for the whole Cordillera Real Triassic magmatism, as proposed by Cordani et al. (2019), we remain cautious and rather suggest a long time interval, probably biased by the existence of antecrysts formed in preceding pulses. This overall interval of 60 Ma falls within the range studied by Paterson and Ducea (2015) for arc-related Mesozoic magmatism: the age range recorded in the zircon antecrysts of the Cordillera Real plutons corresponds to magmatic pulses that were precursors of the final magmatic episode at 220 Ma.
6.2. Xenocrystic population
As mentioned in Section 5.2, tables 2A to 2O include xenocrystal zircons with ages older than 300 Ma. Ages between 300 to 400 Ma could correspond to late Paleozoic magmatic rocks belonging to the Gondwanide orogeny. Some older ages are probably related to the early Paleozoic Famatinian arc and the largest peaks can be assigned to a late Neoproterozoic (Brasiliano) cycle. Even older sources are represented, sometimes by single zircon grains, with ages spanning the Proterozoic eon up to 2500 Ma.
Locally, the geodynamical environment in which the Triassic Real Cordillera granitoids were formed corresponds to a continental rift linked to the breakup of Pangea (Jiménez and López Velásquez, 2008; Sempere et al., 2002; Ramos, 2018). The volcano-sedimentary Mitu Group in SE Perú is representative of this environment and the younger detrital zircon population from these sequences yields a U-Pb age of around 255 Ma (Spikings et al., 2016). The probable “antecryst age” of about 250 Ma recorded in many of the zircon crystals of the Huayna Potosí pluton can be considered coeval with the initiation of the Mitu Rift. If the younger crystallization age of 222 Ma is considered as the end of both plutonism and the rifting stage, then it can be said that the duration of this local extensional regime was probably about 30 Ma. This interval seems to be reasonable for this type of environment and even falls within the shorter category when compared to longer time estimates (e.g., 55 Ma for the Norwegian-Greenland Sea Rift, Ziegler and Cloetingh, 2004).
6.3. The end of the magmatism. Rapid cooling and secondary processes
If we take in consideration the Ar-Ar age obtained by Gillis et al., 2006, for the Huayna Potosí pluton (which was not affected by the thermal anomaly of the ZSGZ), with a well-defined plateau at 218±3 Ma, it is the same, within experimental error, with our statistically optimal U-Pb age of 221±3 Ma for the RIB-2 sample. Therefore, these two isotopic systems may have been closed at almost the same time, with fast cooling after this last magmatic pulse. Probably it means that the regional Sn-W mineralization may also have been contemporaneous with the crystallization and cooling of this pluton.
The final enrichment in fluids, bearing highly incompatible elements at the final stage of the pluton consolidation could be associated with the U anomalies, sometimes bringing excess U and Pb to the zircons of the Cordillera Real granitoids. Probable remobilization of U and Pb associated to damage of the zircon crystal lattice and a potential matrix-related calibration bias during secondary ion mass spectrometry (SIMS) analysis (Kusiak et al., 2013) produced the reverse discordias of figure 11.
7. Conclusions
The granitic plutons of the Cordillera Real fall within the “inner magmatic arc”, in a regional context of the Central Andes and holding an intraplate imprint reflected in the geotectonic and temporal environment. We have also contributed to the understanding of the generation of these plutons, indicating a possible time span for their emplacement and evolution.
All plutons of the Cordillera Real yielded U-Pb zircon ages showing the succession of magmatic events in time. It seems that all record a final crystallization episode with a similar Late Triassic age, preceded by magmatic pulses whose age is recorded by antecrysts. The Huayna-Potosí is the pluton with the most data and accounts for a protracted magmatic system history of about 60 Ma. One sample yielded an 40Ar-39Ar age of 218±3 Ma, which can be considered as a cooling age of the pluton. The overlap of the younger zircon population of sample RIB-2 (221±3) and the mentioned 40Ar-39Ar age indicates a rapid cooling interval for the granite.
The zircon saturation method yielded “low” average temperatures suggesting that the Real Cordillera plutons correspond to cold and consequently inheritance-rich granitoids. These cold granites recorded important xenocrystal and antecrystal inheritance, reflecting important geological events of magmatic crystallization from Precambrian to Phanerozoic times. U-Pb zircon geochronological studies of the antecrysts included in the plutons of the Cordillera Real could be of great help in deciphering the history and duration of the magmatic pulses, which would be very important to understanding the origin and development of the continental crust. The studied plutons also record the influence of the Gondwanide orogeny (336-205 Ma) as an overall subduction arc environment, punctuated in its final stage by continental rifting (245-220 Ma) related to the Mitu Rift.
The zircon saturation method yielded “low” average temperatures suggesting that the Real Cordillera plutons correspond to cold and consequently inheritance-rich granitoids. These cold granites recorded important xenocrystal and antecrystal inheritance, reflecting important geological events of magmatic crystallization from Precambrian to Phanerozoic times. U-Pb zircon geochronological studies of the antecrysts included in the plutons of the Cordillera Real could be of great help in deciphering the history and duration of the magmatic pulses, which would be very important to understanding the origin and development of the continental crust. The studied plutons also record the influence of the Gondwanide orogeny (336-205 Ma) as an overall subduction arc environment, punctuated in its final stage by continental rifting (245-220 Ma) related to the Mitu Rift.
Acknowledgments
We would like to thank to the technical staff of the Centro de Pesquisas Geocronológicas (CPGeo), the professors of the Instituto de Geociências of the University of São Paulo and the professors of the Universidad Mayor de San Andrés for their help, dedication and technical support during the realization of the present paper. Special thanks to W. Vivallo and R.J. Pankhurst who kindly and thoroughly reviewed our paper.
References
Ávila, W.A. 1990. Tin granites from the Cordillera Real, Bolivia; A petrological and geochemical review. Geological Society of America, Special paper 241: 145-159.
Bahlburg, H.; Vervoort, J.D.; Andrew DuFrane, S.; Carlotto, V.; Reimann, C.; Cárdenas, J. 2011. The U-Pb and Hf isotope evidence of detrital zircons of the Ordovician Ollantaytambo Formation, southern Peru, and the Ordovician provenance and paleogeography of southern Peru and northern Bolivia. Journal of South American Earth Sciences 32 (3): 196-209. doi: 10.1016/j.jsames.2011.07.002.
Bard, J.P.; Botello, R.; Martínez, C.; Subieta, T. 1974. Relations entre tectonique, métamorphisme et mise en place d´un granite Éohercynien a deux micas dans la Cordillere Real de Bolivie (massif de Zongo-Yani). Orstom, IRD, VI: 3-18.
Bettencourt, J.S.; Leite, W.B.; Ruiz, A.S.; Matos, R.; Payolla, B.L.; Tosdal, R.M. 2010. The Rondonian-San Ignacio Province in the SW Amazonian Craton: An overview. Journal of South American Earth Sciences 29 (1): 28-46. doi: 10.1016/j.jsames.2009.08.006.
Burnham, C. 1979. Magmas and hydrothermal fluids. In Geochemistry of Hydrothermal Ore Deposits (Second Edition) (Barnes, H.L.; editor). Wiley and Sons: 71-136. New York.
Clark, A.H.; Farrar, E. 1973. The Bolivian tin province: Notes on the available geochronological data. Economic Geology 68: 102-116.
Clark, A.H.; Farrar, E.; Kontak, D.J.; Langridge, R.J.; Arenas, F.M.J.; France, L.J.; McBride, S.L.; Woodman, P.L.; Wasteneys, H.A.; Sandeman, H.A.; Archibald, D.A. 1990. Geologic and geochronologic constraints on the metallogenic evolution of the Andes of southeastern Peru. Economic Geology 85 (7): 1520-1583. doi: 10.2113/gsecongeo.85.7.1520.
Coleman, D.S.; Gray, W.; Glazner, A.F. 2004. Rethinking the emplacement and evolution of zoned plutons: geochronologic evidence for incremental assembly of the Tuolumne Intrusive Suite, California. Geology 32: 433-436.
Cordani, U.G.; Ramos, V.A.; Fraga, L.M.; Cegarra, M.; Delgado, I.; De Souza, K.G.; Gomes, F.E.M.; Schobbenhaus, C. 2016. Tectonic Map of South America.
Cordani, U.G.; Iriarte, A.R.; Sato, K. 2019. Geochronological systematics of the Huayna Potosí, Zongo and Taquesi plutons, Cordillera Real of Bolivia, by the K/Ar, Rb/Sr and U/Pb methods. Brazilian Journal of Geology. doi: 10.1590/2317-4889201920190016
Corfu, F.; Hanchar, J.M.; Hoskin, P.W.O.; Kinny, P. 2003. Atlas of Zircon Textures. In Zircon (Hanchar, J.M.; Hoskin, P.W.O.; editors). Reviews in Mineralogy and Geochemistry, Mineralogical Society of America 53: 469-500.
De Silva, S.L.; Gosnold, W.D. 2007. Episodic construction of batholiths: Insights from the spatiotemporal development of an ignimbrite flare-up. Journal of Volcanology and Geothermal Research 167 (1-4): 320-335. doi: 10.1016/j.jvolgeores.2007.07.015.
Evernden, J.F.; Kriz, S.J.; Cherroni M., C.C. 1977. Potassium-argon ages of some Bolivian rocks-a discussion. Economic Geology 72: 1042-1061. doi: 10.2113/gsecongeo.74.3.702.
Farrar, E.; Clark, A.H.; Kontak, D.J.; Archibald, D.A. 1988. Zongo-San Gabán zone: Eocene foreland boundary of the Central Andean orogen, northwest Bolivia and southeast Peru. Geology 16 (1): 55-58. doi: 10.1130/0091-7613(1988)016<0055:ZSGNZE>2.3.CO;2.
Farrar, E.; Clark, A.H.; Heinrich, S.M. 1990. The Age of the Zongo Pluton and the Evolution of the Zongo San Gaban Zone in the Cordillera Real, Bolivia. In Symposium International “Géodynamique andine”: résumés des communications: 171-174. Grenoble.
Faure, G.; Mensing, T.M. 2005. Isotopes Principles and Applications. Third Edition. John Wiley and Sons: 928 p. New Jersey.
Geobol, 1968. Investigaciones Preliminares sobre Tectónica y Metalogénesis en las Cordilleras Real y Quimsa Cruz. División de Tecnología Minera, Ministerio de Minas, Servicio Geológico de Bolivia, Boletín 9: 24-25.
Grant, J.N.; Halls, C.; Salinas, W.A.; Snelling, N. J. 1979. K-Ar ages of igneous rocks in mineralization in part of the Bolivian tin belt. Economic Geology 74 (4): 838-851. doi: 10.2113/gsecongeo.74.4.838.
Gillis, R.J.; Horton, B.K.; Grove, M. 2006. Thermochronology, geochronology, and upper crustal structure of the Cordillera Real: Implications for Cenozoic exhumation of the central Andean plateau. Tectonics 25 (6): 1-22. doi: 10.1029/2005TC001887.
Glazner, A.F.; Bartley, J.M.; Coleman, D.S., Gray, W.; Taylor, R.Z. 2004. Are plutons assembled over millions of years by amalgamation from small magma chambers? GSA Today 14 (4-5): 4-11. doi: 10.1130/1052-5173(2004)0142.0.CO;2.
Jiménez, N.; López-Velásquez, S. 2008. Magmatism in the Huarina belt, Bolivia, and its geotectonic implications. Tectonophysics 459 (1-4): 85-106.doi: 10.1016/j.tecto.2007.10.012.
Kontak, D.J.; Clark, A.H.; Farrar, E.; Archibald, D.A.; Baadsgaard, H. 1990. Late Paleozoic-early Mesozoic magmatism in the Cordillera de Carabaya, Puno, southeastern Peru: Geochronology and petrochemistry. Journal of South American Earth Sciences 3 (4): 213-230.
Kusiak, M.A.; Whitehouse, M.J.; Wilde, S.A.; Nemchin, A.A.; Clark, C. 2013. Mobilization of radiogenic Pb in zircon revealed by ion imaging: Implications for early Earth geochronology. Geology 41- 3: p. 291-294. doi: 10.1130/G33920.1.
Litherland, M.; Annells, R.N.; Darbyshire, D.P.F.; Fletcher, C.J.N.; Hawkins, M.P.; Klinck, B.A.; Mitchell, W.I.; O`Connor, E.A.; Pitfield P.E.J.; Power, G.; Webb, B.C. 1989. The proterozoic of Eastern Bolivia and its relationship to the Andean mobile belt. Precambrian Research 43 (3): 157-174. doi: 10.1016/0301-9268(89)90054-5.
Loewy, S.L.; Connelly, J.N.; Dalziel, I.W.D. 2004. An orphaned basement block: The Arequipa-Antofalla Basement of the central Andean margin of South America. Bulletin of the Geological Society of America 116 (1-2): 171-187. doi: 10.1130/B25226.1.
Ludwig, K. 2009. SQUID 2: A User’s Manual, rev. 12 Apr, 2009. Berkeley Geochronology Center, Special Publication 5: 110 p.
Lundstrom, C.C.; Glazner, A.F. 2016. Silicic magmatism and the volcanic-plutonic connection. Elements 12 (2): 91-96. doi: 10.2113/gselements.12.2.91.
Mcbride, S.L.; Robertson, R.C.R.; Clark, A.H.; Edward, F. 1983. Magmatic and Metallogenetic Episodes in the Northern Tin Belt, Cordillera Real. Bolivia. Geologische Rundschau 72 (2): 685-713.
Mcbride, S.L.; Clark, A.H.; Farrar, E.; Archibald, A. 1987. Delimitation of a cryptic Eocene tectono-thermal domain in the Eastern Cordillera of the Bolivian Andes through K-Ar dating and 40Ar-39Ar step-heating. Journal of the Geological Society 144: 243-255. London.
Miller, C.F.; McDowell, S.M.; Mapes, R.W. 2003. Hot and cold granites: Implications of zircon saturation temperatures and preservation of inheritance. Geology 31 (6): 529-532. doi: 10.1130/00917613(2003)031<0529:HACGIO>2.0.CO;2.
Paterson, S.R.; Ducea, M.N. 2015. Arc magmatic tempos: Gathering the evidence. Elements 11 (2): 91-98. doi: 10.2113/gselements.11.2.91.
Ramos, V.A. 2009. Anatomy and global context of the Andes: Main geologic features and the Andean orogenic cycle. Backbone of the Americas: Shallow Subduction, Plateau Uplift, and Ridge and Terrane Collision. Geological Society of America, Memoirs 1204 (204): 31-65. doi: 10.1130/2009.1204(02).
Ramos, V.A. 2018. Tectonic evolution of the central Andes: From terrane accretion to crustal delamination. In Petroleum basins and hydrocarbon potential of the Andes of Peru and Bolivia (Zamora, G.; McClay, K.M.; Ramos, V.A.; editors). American Association of Petroleum Geologists, Memoir 117: 1-34. doi: 10.1306/13622115M1172855.
Reimann, C.R.; Bahlburg, H.; Kooijman, E.; Berndt, J.; Gerdes, A.; Carlotto, V.; López, S. 2010. Geodynamic evolution of the early Paleozoic Western Gondwana margin 14°-17 °S reflected by the detritus of the Devonian and Ordovician basins of southern Peru and northern Bolivia. Gondwana Research 18 (2-3): 370-384. doi: 10.1016/j.gr.2010.02.002.
Romer, R.L.; Kroner, U. 2016. Phanerozoic tin and tungsten mineralization-Tectonic controls on the distribution of enriched protoliths and heat sources for crustal melting. Gondwana Research 31: 60-95. doi: 10.1016/j.gr.2015.11.002.
Sandeman, H.A.; Clark, A.H.; Farrar, E. 1995. An Integrated Tectono-Magmatic Model for the Evolution of the Southern Peruvian Andes (13-20°S) since 55 Ma. International Geology Review 37 (12): 1039-1073. doi: 10.1080/00206819509465439.
Sato, K.; Tassinari, C.C.G.; Basei, M.A.S.; Siga, O.; Onoe, A.T.; De Souza, M.D. 2014. Sensitive High Resolution Ion Microprobe (SHRIMP IIe/MC) of the Institute of Geosciences of the University of São Paulo, Brazil: Analytical method and first results. Geologia, University of São Paulo, Serie Cientifica 14 (3): 3-18. doi: 10.5327/Z1519-874X201400030001.
Sempere, T.; Carlier, G.; Soler, P.; Fornari, M.; Carlotto, V.; Jacay, J.; Arispe, O.; Néraudeau, D.; Cárdenas, J.; Rosas, S.; Jiménez, N. 2002. Late Permian-Middle Jurassic lithospheric thinning in Peru and Bolivia, and its bearing on Andean-age tectonics. Tectonophysics 345 (1-4): 153-181. doi: 10.1016/S0040-1951(01)00211-6.
Siégel, C.; Bryan, S.E.; Allen, C.M.; Gust, D.A. 2018. Use and abuse of zircon-based thermometers: A critical review and a recommended approach to identify antecrystic zircons. Earth-Science Reviews 176: 87-116. doi: 10.1016/j.earscirev.2017.08.011.
Spikings, R.; Reitsma, M.J.; Boekhout, F.; Mišković, A.; Ulianov, A.; Chiaradia, M.; Gerdes, A.; Schaltegger, U. 2016. Characterisation of Triassic rifting in Peru and implications for the early disassembly of western Pangaea. Gondwana Research 35: 124-143. doi: 10.1016/j.gr.2016.02.008.
Steiger, R.H.; Jäger, E. 1977. Subcomission on Geochronology: Convention on the use of decay constants in geo-and cosmochronology. Earth and Planetary Science Letters 36: 359-362.
Watson, E.B.; Harrison, T.M. 1983. Zircon saturation revisited: temperature and composition effects in a variety of crustal magma types. Earth and Planetary Science Letters 64: 295-304.
Williams, I.S. 1998. U-Th-Pb geochronology by ion microprobe. In Application of Microanalytical Techniques to Understanding Mineralizing Processes (McKibben, M.A.; Shanks, I.; Ridley, W.C.P.; Ridley, W.I.; editors). Reviews in Economic Geology 7: 1-35.
Ziegler, P.A.; Cloetingh, S. 2004. Dynamic processes controlling evolution of rifted basins. Earth-Science Reviews 64 (1-2): 1-50. doi: 10.1016/S0012-8252(03)00041-2.


