1 Museo Argentino de Ciencias Naturales, Ángel Gallardo 470, 1405 Buenos Aires, Argentina.
ebellosi@sei.com.ar
2 Museo Paleontológico Egidio Feruglio, Fontana 140, 9100 Trelew, Argentina.
mkrause@mef.org.ar
Climate-driven changes in terrestrial environments and biomes after the Early Eocene Climatic Optimum are poorly documented from southern continents. Particularly, Middle Eocene-Early Oligocene leaf and pollen data from Central Patagonia (46oS, Argentina) are not sufficient to characterize floristic paleocommunities. Paleosols of the Cañadón Vaca (~45-42 Ma) and Gran Barranca (42-38.5 Ma) members (Sarmiento Formation), studied at Cañadón Vaca, solve such deficiency and help to reconstruct Middle Eocene landscapes in the beginning of the Cenozoic cooling-drying trend. Vitric Entisols, mollic Andisols and andic Alfisols, showing granular structure and diverse micropeds, are cyclically arranged mainly in response to variation in fine volcaniclastic eolian supply, which in turn governed ecosystem stability and maturity. Soils formed in loessic plains crossed by minor ephemeral rivers, supported open herbaceous-arboreal communities which grew in seasonal, subhumid and warm-temperate conditions. Phytoliths produced by Arecaceae, megathermic graminoids, sedges and dicots, from the upper part of the studied unit, represent subtropical savannas with grasses and variable number of palms and other trees. Considering the abundant paleobotanical and paleopedological antecedents of Late Paleocene-Early Eocene warm and humid forested environments in the same region, the lower Sarmiento Formation records the initial expansion of open herbaceous communities and the appearance of grassy habitats during the greenhouse to icehouse transition in the Middle Eocene.
Keywords: Paleosol, Paleoclimate, Greenhouse-icehouse transition, Open-herbaceous communities.
1. Introduction
Paleogene climate of the Earth was characterized by first-magnitude events and variations, particularly the Early Eocene Climatic Optimum (EECO) and the subsequent transition from greenhouse conditions to the present icehouse world, initiated at the beginning of the Oligocene (Miller et al., 1987; Zachos et al., 2001; Mosbrugger et al., 2005; Pagani et al., 2005; Tripati et al., 2005). Many environmental and biotic turnovers were recognized close to the Eocene- Oligocene boundary (e.g., Schouten et al., 2008; Pearson et al., 2008; Retallack, 2009). However, it is presumed that landscapes and ecosystems were affected throughout this long-term cooling and drying period in the middle and late Eocene (49-34 Ma).
Post-EECO modifications in terrestrial environments are largely known from northern hemisphere (e.g., Townsend et al., 2010), but poorly documented in the southern continents. The continuous continental Paleogene record from central Patagonia (Argentina) allows recognizing changes occurred soon after the EECO by means of the study of paleosols and depositional settings. In this case, such modifications were appraised in the Middle Eocene Cañadón Vaca and Gran Barranca Members of the Sarmiento Formation, at Cañadón Vaca area (Fig. 1).
Fig. 1. Location of Cañadón Vaca area (star) in Chubut province, Argentina. Other localities mentioned in the text are included. |
As in other regions, environmental changes in Patagonia were related to floristic and pedological variations, such as the withdrawal and fragmentation of closed forests and the expansion of herbaceous open-vegetation habitats, which are recorded in paleosols (Bellosi and González, 2010), opal phytoliths (Zucol et al., 2010; Sánchez et al., 2010b) and trace fossils (Bellosi et al., 2010; Sánchez et al., 2010a). This multiple evidence, also supported by sedimentologic data (Bellosi, 2010b) and diverse fossil mammals (Woodburne et al., 2013) supplied from the Sarmiento Formation, contrasts with the scarce lowland palynomorphs and plant megafossils of Middle Eocene-Early Oligocene age from Patagonia. These paleobotanical assemblages show declining megathermal elements and rapid expansion of Nothofagaceae and other micro- to mesothermal taxa, representing humid temperate to cold-temperate forests (Barreda and Palazzesi, 2007), more probably from highland western areas. This work aimed to reconstructing lowland Central Patagonia landscapes and climatic conditions developed during the first Middle Eocene steps of the cooling-drying period.
2. Methods
Field data from Cañadón Vaca area are represented in descriptive logs, displaying sedimentary and pedogenic features. Paleosol horizons were identified based upon macroscopic identification of changes in structure, mottling, nodules and colors. In these horizons, thickness, contact types, mineral composition, mean grain size, ped structure, type of glaebules and intensity of bioturbation were determined. Color changes were defined following the Munsell notation (Munsell Color Company, 1975). According to the prevalent grouping of pedogenic features, five ‘type profiles’ of palaeosols were defined (Retallack, 1994). Surface horizons were identified from root traces underlying beds with no erosive basal surfaces and without evidence of pedogenesis. Sub-surface horizons were defined based on the presence of significant clay illuviation (Bt), manganese/iron oxide nodules/mottles or gleying features (Bg), and ped structure. To complement the macroscopic characterization, a micromorphological study was also undertaken. Thin-section observations included the definition of mean grain size, mineralogical composition, porosity, microstructure, pedofeatures and fine material (groundmass) microfabric (Bullock et al., 1985). Paleosol classification is mainly based on macro an micromorphological features recognized on constituents horizons, through a comparison with a modern soil taxonomic scheme (Soil Survey Staff, 1999).
2. Stratigraphic setting
Good-quality exposures of a lower Paleogene continental succession are recognized at Cañadón Vaca (Fig. 2). This slightly structured succession includes the Rio Chico Group and the lower section of the Sarmiento Formation, the last divided herein into two members.
The lower unit of the Río Chico Group is the Peñas Coloradas Formation, a fossiliferous fluvial succession constituted by channelized cross-bedded sandstone bodies, intercalated with greenish gray and reddish tuffaceous mudstones accumulated in the floodplain. Both facies show pedogenic features such as blocky structure, slickensides, mottles and a variety of root traces including large drab-haloes, small rhizoliths and very large vertical, ferruginous rhizoconcretions. Vertebrate remains include polydolomorphs, condylarths and ungulates, probably belonging to the ‘Carodnia’ fossil zone of Late Paleocene age (Raigemborn et al., 2010). The top of this succession is erosive under the Las Flores Formation. This finning-upward unit is composed of whitish, lens shaped sandstones showing epsilon cross-bedding, embedded in thicker, greenish gray massive mudstones. Paleosols are uncommon and probably weakly developed. The depositional system is envisaged as extensive floodplains with high-sinuosity rivers and shallow lakes. This unit has been assigned to the Late Paleocene-Early Eocene (Raigemborn et al., 2010).
2.1 Sarmiento Formation
The Sarmiento Formation is a continental, pyroclastic succession widely exposed in Central and North Patagonia. The bio- and lithostratigraphic characterization was carried out at the type locality (Gran Barranca) by Feruglio (1949) and Spalletti and Mazzoni (1979). Reassessing of the hierarchy of internal bounding surfaces enabled the definition of six members: Gran Barranca, Rosado, Lower Puesto Almendra, Vera, Upper Puesto Almendra and Colhue-Huapi (Bellosi, 2010a, b). Vertebrate remains included in the lowermost member correspond to the ‘Barrancan’ Subage, the late choronofauna of the ‘Casamayoran’ SALMA (Fig. 2). Isotope dating and magnetostratigraphic profiles adjusted the chronology of the Sarmiento Formation in the late Middle Eocene (41.9 Ma) - Lower Miocene (18.8 Ma) interval (Ré et al., 2010; Dunn et al., 2013).
At Cañadón Vaca area, the Sarmiento Formation is 115 m (Fig. 3) thick and presents six ‘Casamayoran’ mammal-bearing beds (Ameghino, 1906; Feruglio, 1949) of Middle Eocene age. The lower five attributed to the ‘Vacan’ Subage, and the uppermost one to the ‘Barrancan’ Subage (Cifelli, 1985). In addition, the ‘Vacan’ beds include reptile remains (crocodilians, snakes and turtles, Simpson, 1932, 1933; Gasparini, 1972; Albino, 1993; de Broin and de la Fuente, 1993). The Cañadón Vaca section includes the oldest part of the Sarmiento Formation, absent at Gran Barran- ca locality. Cifelli (1985) interpreted taxonomic differences between both mammal assemblages as chronologic, but not by ecological factors.
Fig. 3. Sedimentologic profiles of the Sarmiento Formation, at Cañadón Vaca area. |
The Sarmiento Formation lies on the Las Flores Formation with a sharp and flat contact (Cifelli, 1985), here conceived as a paraconformity (Fig. 4a). At southern Chubut localities (i.e., Gran Barranca, Cañadón Blanco) this boundary is transitional on the Koluel-Kaike Formation, which in turn lies upon the Las Flores Formation (Krause et al., 2010a, Raigemborn et al., 2010). This supports the interpreted unconformity between the Río Chico Group and the Sarmiento Formation at Cañadón Vaca. The Sarmiento Formation is covered by recent sediments. ‘Casamayoran’ mammals from the studied area allow its correlation to the Cañadón Hondo Formation (Andreis, 1977), located 20 km to the SE (Piatnitzky, 1931; Simpson, 1941). Similarities are also recognized in total thickness, stratigraphic position, less proportion of detrital sediments in lower section, higher number of bentonite beds and abundance of granular weakly-developed paleosols in upper section. According to lithofacies composition, the Sarmien-to Formation at Cañadón Vaca can be divided into two subunits bounded by a transitional contact (Figs. 3, 4a): the Cañadón Vaca and Gran Barranca members.
2.1.1 Cañadón Vaca Member (CVM)
This lower section (55 m) of the Sarmiento Formation (Fig. 3) is mainly constituted by yellowish gray pyroclastic and siliciclastic mudstones, fine tuffs, conglomerates and paleosols (Table 1). The accurate age of the CVM and ‘Vacan’ Subage is unsound because the lack of radiometric dates. A mean age of 45 Ma was proposed by Carlini et al. (2005) to the ‘Vacan’ chronofauna. Taking into account the stratigraphic continuity, thickness and similar facies and paleosols with the GBM at Cañadón Vaca and Gran Barranca localities, a chronologic estimation can be made. First, minimum age of CVM would be 41.9 Ma according to the age of GBM in the type location (Dunn et al., 2013). Second, sedimentation rates (considering 10% compaction) of the upper and lower sections of the GBM are 11 and 45 mm/ka, respectively (Ré et al., 2010; Dunn et al., 2013). Thus, average maximum age of CVM would be 45.0 Ma (range 43.1-46.9 Ma).
Since the CVM includes more and stronger developed paleosols than the GBM from Gran Barranca locality, a little older age is possible. ‘Vacan’ assemblage comprises archaic families less derived than ‘Barrancan’ ones, and not very dissimilar to the ‘Riochican’ fauna (Cifelli, 1985). A correlation between CVM and the lower and middle sections of the Cañadón Hondo Formation (Andreis, 1977) is proposed herein according to similar deposits. In both cases fluvial facies are common, suggesting relative more humid climate regard to those recorded in the GBM.
2.1.2 Gran Barranca Member (GBM)
The upper 60 m of the Sarmiento Formation at Cañadón Vaca area are correlated to the Gran Barranca Member from the type locality because similar ‘Barrancan’ fossils and facies (Fig. 3). It is formed by yellowish gray and light greenish gray pyroclastic mudstones, bentonites, fine-grained tuffs, siliciclastic mudstones and paleosols (Table 1). Detailed geochronology of the GBM at the type locality suggests that the age of this member at Cañadón Vaca area is Middle Eocene (41.9-38.3 Ma interval) (Ré et al., 2010; Dunn et al., 2013). A recent U-Pb shrimp age of 39.0+0.5 Ma next to the Gran Barranca (Suárez et al., 2011), ratifies this age. Cifelli (1985) indicated that mammal remains from the upper section of the GBM (site 6) from Cañadón Vaca area correspond to ‘early Barrancan’ taxa. A correlation between GBM and the upper section of the Cañadón Hondo Formation (Andreis, 1977) is suggested according to similar facies.
3. Depositional facies and paleosols
Table 1 summarizes the characteristics, interpretation and stratigraphic distribution of depositional facies and paleosols of the Sarmiento Formation (Fig. 4). They are massive or laminated pyroclastic and siliciclastic mudstones, cross-bedded medium and fine-grained tuffs bearing fossil vertebrates, bentonite mudstones, conglomerates with extraformational clasts (volcanic, metamorphic rocks), coarse-grained pyroclastic sandstones and three pedotypes. In the CVM siliciclastic mudstones and tuffs are more abundant, while conglomerates and coarse-grained sandstones are exclusive and paleosols are less frequent (45% of beds) (Fig. 4d). In the GBM pyroclastic mudstones are more abundant and bentonites are exclusive. Paleosols are numerous (75% of beds) and more strongly developed (Fig. 4b).
A high proportion of beds were weakly to moderately modified by soil forming processes. More frequent pedological features include ped structure, horizons with transitional contacts, Fe and Mn oxide nodules, mottles, root and invertebrate trace fossils and slickensides. Color changes are subtle. The development degree varies according to number and thickness of horizons, preservation of original sedimentary structures and progress of macro and microscopic characteristics such as oxides, clay enrichment, groundmass properties (birefringence fabric, micropeds, coarse/fine (c/f) ratio) and mineral alteration (Bellosi and González, 2010). Stronger developed paleosols tend to be related to eolian pyroclastic mudstones (facies C), while weaker ones are related to channel sandstones (facies B) and bentonites (facies E). Upper horizons are commonly indurated owing to higher concentration of clay or Fe-Mn oxides. Associated pedological features define three pedotypes in the Sarmiento Formation, representing a combination of time of formation, vegetal communities and geomorphic setting.
Pedotype 1 is the most numerous in the formation, particularly in the GBM (Table 1). It presents two horizons, 0.5 m thick approximately (Fig. 5). Surface (A) horizon consists of pale greenish yellow (10Y8/4) pyroclastic mudstones, massive or showing relict cross-bedding, irregular small mottles or scarce Fe-Mn nodules, rhizoliths and low invertebrate bioturbation. Plagioclase crystals and glass shards are fresh or slightly altered. The subsurface (C) horizon is separated by a transitional or sharp contact, and formed by coarser pyroclastic, very light olive gray (5Y7/1) mudstones with remnants of horizontal lamination, short slickensides, rare Mn nodules and rhizoliths.
Pedotype 2 (Fig. 5) is up to 0.7 m thick, and includes smectite clay and several horizons, some of them with vestiges of cross-bedding or lamination. Surface (A) horizon is generally indurated and composed of very light gray (N8), fine to medium-grained tuffs, exhibiting coarse granular structure (Fig. 4c), Fe-Mn nodules, and less frequently rhizoliths, meniscate burrows (Taenidium isp.) and dung beetle brood balls (Coprinisphaera isp.). At microscope, granular peds (15 mm) are defined by darker zones along scarce, interconnected channel pores (‘hypocoatings’ after Bullock et al., 1985) showing higher impregnation of Fe-Mn oxides and organic matter, and contrast with the depleted clayey groundmass (Fig. 6a). Birrefringence fabric is complex, speckled and granostriated. Glass shards, plagioclase, quartz and volcanic rock fragments dominate the composition. Soil clasts are also observed. Glass shards exhibit moderate alteration. Laminated and impregnated clay coatings are present in pores. Granules or micropeds are frequent in the groundmass. Subsurface (Bt) horizon is formed by yellowish olive gray (5Y6/2), fine-grained tuffs or siliciclastic mudstones including blocky or granular peds larger than in the upper horizon, deep root traces, irregular mottles or Mn nodules and discontinuous slickensides. Clay coatings on pores, grains and granules are thin but frequent. Some profiles show a (Bt2) subhorizon with smaller granular peds, intense bioturbation, helicoid traces 5 cm long with pelletoidal walls, and frequent (15%) ovoid microstructures, 1.6-2.9 mm long (Fig. 5f). In thin sections, the horizon presents abundant micropeds or granules (0.5-0.9 mm), generally welded; and irregular soil fragments dispersed in the groundmass. Microstructure is mainly massive. Blocky peds are defined by scarce chamber and channel voids (5%), some of them with small (0.1-0.3 mm) pellets inside (Fig. 6b) and Mn and organic matter cutans. The c/f ratio is porphyric and the groundmass is clay-rich and impregnated with Fe and Mn oxides. Large (20 mm), meniscate and near-complete infillings (or pedotubules), including medium size granules, are also observed. Mammal and crocodile remains were recovered from this paleosol. Lower (BC) horizon is a yellowish white (5 Y 9/1), fine to medium-grained tuff with short slickensides or relict lamination.
Fig. 6. Representative profiles of pedotypes from the Sarmiento Formation. Pedotype 1 corresponds to vitric Entisols, Pedotype 2 to mollic Andisols and Pedotype 3 to andic Alfisols. |
Pedotype 3 (Fig. 5) predominates in the CVM and is scarce the GBM (Table 1). It presents well-differentiated horizons. Surface (A) horizon is formed by pale greenish yellow (10 Y 8/4), pyroclastic mudstones showing coarse blocky structure sometimes with internal granular peds (Fig. 4e). Rhizoliths, diverse burrows and dung beetle brood balls also occur. Some cases present Fe oxide nodules (Fig. 6c) and short slickensides. At microscope it shows a porphyric c/f distribution, low porosity (5%) composed by poorly connected but long channel voids defining blocky peds. Composition of the coarse-grained fraction is similar to previous pedotypes. Soil clasts are also observed. The clay-rich groundmass displays high Fe-Mn impregnation and includes abundant subrounded and subangular micropeds or granules (0.8-1.7 mm), composed by indurated and slightly darker soil material (Fig. 6d). Size and shape are less regular, and contour less smooth than ovoid microstructures of pedotype 2. Thin clay coatings are present in pores, around grains and granules (Fig. 6e). Glass shards are frequent to abundant, showing poor to moderate alteration (Fig. 6h). Subsurface B horizon includes yellowish gray (5 Y 7/2), finer pyroclastic mudstones or bentonites, blocky structure (Bt), Mn or Fe nodules (Bg) rhizoliths and long slickensides. Micromorphology is characterized by a prophyric c/f ratio, abundant micropeds or granules, mostly welded and incipient Mn nodules (Fig. 6g). Microstructure presents moderate porosity (10%) formed by connected channel and vesicle voids that define blocky peds. The complex b-fabric is speckled and granostriated. Pores, grains and granules show laminated and continuous clay coatings. Lower (C) horizon is commonly a tuff or siliciclastic mudstone showing rhizoliths and weak alteration of glass shards and plagioclase. Microstructure is massive and blocky by sectors, with scarce channel pores showing very thin and discontinuous clay cutans.
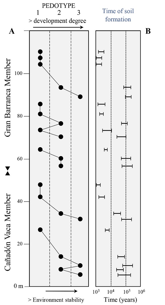
All pedotypes share properties generated in analogous conditions, suggesting that differences are mainly due to time of soil development or intensity of similar soil forming processes. The last were clay lessivage or argilluviation, gleization (formation of Fe-Mn nodules and mottles) and macro or microbioturbation (sediment reworking by soil invertebrates). Stratigraphic distribution of pedotypes displays a cyclic arrangement, without interruptions or discontinuities (Fig. 7a). Cycles include three to five units, from the strongest (pedotype 3) to the weakest developed (pedotype 1), reflecting relative changes in landscape persistence or stability. In both members, characteristics and extension of these cycles are similar.
Approximate time for soil formation is shown in figure 7b. For very weakly developed paleosols (pedotype 1), time is estimated by comparison to similar Oligocene andic Entisols of North America (Retallack et al., 2000). For weakly (pedotype 2) or moderately developed paleosols (pedotype 3), time is assessed according to thickness of eluvial (Bt) horizons (Markewich et al., 1990; Sheldon, 2003).
4. Discussion
4.1 Sedimentation of the Sarmiento pyroclastics
Dissimilarities between ‘Barrancan’ and ‘Vacan’ faunal associations, and the affinity between the last and the ‘Riochican’ preserved in the upper Río Chico Group, could indicate a hiatus separating both ‘Casamayoran’ Subages (Cifelli, 1985). According to Goin et al. (2012), the temporal value of this hiatus would be 2 m.a. (44-42 Ma). Notwithstanding, sedimentologic observations presented herein do not support such interpretations. General stacking pattern and similar facies, repeated arrangement of the same pedotypes and absence of bounding surfaces, point to a transitional contact between CVM and GBM and comparable depositional landscapes. In addition, any paleosol of the entire succession is sufficiently developed to involve a prolonged lapse; despite of time of pedogenesis is always greater than time of sedimentation (Retallack, 2001a). Compared to similar examples from the type locality, where properties and chronologic significance of discontinuity surfaces are known (Bellosi, 2010a, b), the boundary between CVM and GBM at Cañadón Vaca area imply a short time. Accordingly, it is suggested that if it exists, there would be a non significant hiatus between ‘Vacan’ and ‘Barrancan’ associations.
The beginning of the Sarmiento sedimentation occurred after a period of possible erosion. Fine ashes were supplied from distal volcanic centers located in northwestern Patagonia (Bellosi, 2010b). Sediment accumulation of the CVM was governed by distal, subaerial fallouts of suspended volcanic ash and dust on vegetated plains (tephric loessites, facies C). A proportion of these ashes was reworked by mixed-load fluvial channels (facies B), and deposited in shallow lakes and ponds (facies D). Rivers also transported coarser epiclastic material (facies A). Subaerial accumulation prevailed in the overall sedimentary scenery. Pyroclastic supply was sustained but discontinuous, allowing soil formation and growing of plant communities during times of low or null sedimentation. Weaker developed paleosols in the upper section of the CVM suggest an increase in the sedimentation rate and less stable landscapes. Tabular geometry and internal anatomy of fluvial channel fill suggest that rivers developed low sinuosity and up to 3 m in depth, with marginal bars including sinuous megaripples. Vertebrate remains are mostly preserved in channel deposits. Fluvial regime was probably ephemeral because frequent pedogenic modification. Extended lacustrine environments fed by these rivers, survived until the end of the sedimentation of the CVM. Eolian accumulation of fine-grained pyroclastics on vegetated landscapes (tephric loessites) was more persistent during the time of the GBM. Lower proportion of fluvial facies and the increase of bentonite beds suggest that subaerial plains and shallow lacustrine settings expanded on plains in detriment of rivers.
Cyclic arrangement of pedotypes (Fig. 7), formed on similar materials and by comparable processes, would be a response to periodic changes in pedogenesis or sedimentation rate. The former mostly depends on environmental processes which govern weathering (Kraus, 1999; Retallack, 2001a). Although climate is the main factor (Chesworth, 1992), it is possible to infer that climatic changes were unimportant because soil forming processes kept relatively uniform along the Sarmiento Formation. Such uniformity is appreciated in the persistence of features originated by the same processes: argilluviation, bioturbation and gleization; and in the inexistence or low effect of other processes: vertization, base cation lixiviation, calcification or paludization. Accordingly, regular distribution of pedotypes would represent the dynamic equilibrium of sediment accommodation in loessic and fluvial landscapes of Central Patagonia. Cycles begun in lapses of unvarying topography and vegetation with low or null sedimentation rate (i.e., strongly developed paleosols), and culminated with higher instability in these factors and renewed accumulation (weaker developed paleosols). This unsteady landscape could be related to a more intense activity of the volcanic arc or higher effectiveness of wind transport. In any case, an increase in sediment supply was produced along with physic and biotic unfavorable conditions to soil development. Likewise, changes from relative low to high accommodation space are also revealed in each cycle.
4.2 Middle Eocene paleoclimate and ecosystems
Prevailing eolian facies and subordinated fluvial channel deposits suggest subhumid to semiarid conditions during sedimentation of the Middle Eocene Sarmiento pyroclastics. Loess deposits, similar to massive pyroclastic siltstones (Facies C) from Cañadón Vaca and elsewhere in central Patagonia (Bellosi, 2010b), are generally interpreted as the record of dry conditions (Guo et al., 2002), which are confirmed by paleosol attributes. Glass shards, preservation of sedimentary structures and the scarce pedological features observed in pedo- type 1 indicate a very weak soil development, comparable to andic or vitric Entisols. These paleosols formed on subaerial ash falls and channel deposits are insufficiently developed for long time enough to be reliable indicators of palaeoclimate. The scarce and fine rhizoliths associated to low degree invertebrate bioturbation would represent an early successional community. Poor drainage and drying favor Mn mobilization and fixation, and subsequent nodule formation by alternate oxidizing-reducing conditions (Krause et al., 2008). Slickensides also formed by soil wetting and desiccation. Both characteristics suggest seasonality in water availability. Absence of free carbonate concentrations indicates annual precipitation over 500-600 mm (Sheldon, 2003). Landscape corresponding to this pedotype can be envisaged as young not dry lowland, which supported herbaceous communities associated to the first steps of a successional colonization on disturbed poorly-drained substrates. They probably formed short after falls of volcanic dust and ash, or subsequent to fluvial channel deactivation or abandonment. According to described characteristics and by comparison to similar andic Entisols from Oregon (Retallack et al., 2000) a short time of formation is inferred, probably a few thousand of years (Fig. 7b). Progress in soil and biome development was generally impeded by renewed pyroclastic sedimentation.
Pedotype 2 is characterized by granular ped structure, relict bedding, moderately altered glass shards, partial textural differentiation and absence of alkali. These properties indicate a weak soil development. Granular peds, rhizoliths and drab color of the surface horizon are comparable to mollic epipedon (Fig. 4f). The examples whit a middle horizon exhibiting small granular peds and ovoid pellets cannot be considered a Mollisol because light hue and scarcity and morphology of rhizoliths (Retallack, 1997). They are better classified as mollic Andisols. Time for soil formation is in the range of 20 to 200 ky (Fig. 7b), which is compatible to similar Andisols from Oregon (Retallack et al., 2000). Argillic texture of subsurface horizons and deep rhizoliths suggest well drainage and high moisture retention, although hypocoatings and Mn nodules indicate, at least, temporal waterlogging or gleying. Climate would be seasonal, subhumid, and probably warm-temperate or warm according to the singular herpetological fossil suite found in the CVM (Simpson, 1933; Albino, 1993, Pol et al., 2012). Complete carbonate leaching and smectite-dominated composition suggest a rainfall regime (MAP) not far beyond the humid side of the ustic-udic limit (Soil Survey Staff, 1998), this is in the range 650-850 mm/y. Sebecid crocodyliform and booid snake remains from ‘Casamayoran’ beds indicate elevated mean temperatures (Pascual and Ortíz Jaureguizar, 1990). Higher ichnodiversity, presence of diverse micropeds resembling pellets (at least 3 sizes) probably formed by different invertebrates and stronger development suggest more stable landscapes than pedotype 1, supporting a moderately-varied and mature soil and plant communities. Horizons showing mollic aspect are frequent in grass-dominated soils populated with invertebrates (Retallack, 2001b). However, a partial tree cover is not discharged. Helicoid trace fossils could be attributed to some arthropod, constituent of the soil fauna.
Pedotype 3 gathers paleosols showing the strongest development degree. It represents moderately developed soils according to well-defined horizons, surface horizons with complex ped structure, subsurface argillic horizons, widespread microbioturbation and inexistence of depositional structures. Such attributes are suitable for andic Alfisols, probably originated in seasonal-subhumid and warm-temperate conditions. The stability of the environments where pedotype 3 developed is estimated in 90-350 ky (Fig. 7b). The abundant micropeds or granules (pellets), as a notable component of soil groundmass, reveal a significant invertebrate soil fauna and organic matter availability. This pedotype records more stable settings than previous ones, probably formed late successional ecosystems with herbs and trees.
Opal phytoliths and paleosols from the type locality are also useful to reconstruct floristic communities of Cañadón Vaca area. Most of phytoliths came from grasses (pooid, panicoid, danthonioid and chloridoid graminae) and palms, and subordinately from sedges (ciperaceae), arboreal and shrubby dicotyledons and aquatic or swamp herbs (Zucol et al., 2010). Palm elements predominate in the lower and the uppermost part, while grass phytoliths are dominant in the middle and upper parts. A megathermic regime is suggested by high proportion of panicoids (C4) grasses. The phytolith assemblage represents an open herbaceous-arboreal community similar to subtropical savannas, with grasses and a variable number of palms and other trees (Zucol et al., 2010), that grew in placic, calcic and claye-ferruginous Andisols and Vertisols (Bellosi and González, 2010). These results where corroborated by Sánchez et al. (2010b) who reported 52-31% of grass phytoliths in the same paleosols, comparable values to those presented by Zucol et al. (2010). Despite no vegetal fossils are known from CVM, analogous paleosols, depositional facies, trace fossils and fossil vertebrates to the GBM suggest similar landscape and flora. Vegetal communities associated to the CVM would have been integrated by palms and grasses, along with sedges and dicots. The last included Fagaceae, as a constituent of the canopy layer, according to logs and leaves recovered from the middle member of the Cañadón Hondo Formation (Andreis, 1977). These inferences are also supported by the phytolith assemblages from the upper section of the Koluel-Kaike Formation, where abundant palm and grass phytoliths were distinguished (A. Zucol, personal communication, 2012). Likewise, andic paleosols from this section showing granular peds, fine rhizoliths and cicada trace fossils are also compatible with dominant herbaceous communities (Krause et al., 2008, 2010a).
Comparable facies and pedotypes in both CVM and GBM at Cañadón Vaca area suggest similar depositional processes and paleoenvironments. The higher proportion of loess facies in the GBM indicates slightly dryer conditions. Paleosols could give away minor differences in local landscapes. Ash deposits frequently imitate drying effects such as loss of vegetation, surface drought or xeric conditions, alkaline setting and soil burying (Harris and Van Couvering, 1995). Accordingly, temporary barrenness or false aridity owing to syneruptive sediments and geomorphology must be considered when landscapes and biomes from ancient volcaniclastic settings are reconstructed. To avoid this problem, paleosols showing stronger development better preserve non-eruptive recovery phases, and record late successional or climax ecosystems. Differences in paleosols of the GBM at Cañadón Vaca and Gran Barranca denote that landscapes in the first locality were more uniform, while in Gran Barranca locality co-existed high well-drained and low waterlogged sectors. Such scenery was conceived as rolling loessic plains (Bellosi, 2010b). ‘Casamayoran’ faunas that subsisted in these ecosystems were dominated by Notoungulates and Cingulates along with Sparassodonta and Polydolopimorphia marsupials, classified as browsers, insectivorous, myrmecophagous and omnivorous (Pascual and Ortíz Jaureguizar, 1990). The Middle Eocene increase in land mammal diversity, expressed by the higher number of ‘Vacan’ and ‘Barrancan’ genera, along with the presence of very large-sized taxa (Woodburne et al., 2013), was probably related to changing landscapes and the appearance of new open ecosystems.
4.3 Environments at the onset of the greenhouse-icehouse transition
Stable isotope and geochemical records show that after the EECO (Early Eocene Climatic Optimum) Earth climate begun a prolonged cooling tendency towards icehouse conditions (Zachos et al., 2001; Tripati et al., 2005; Westerhold and Rohl, 2009). This global temperature reduction was simultaneous with rainfall diminution, seasonality increase and greater definition of thermal latitudinal gradients. The impact on continental and marine biota had a planetary extension (Hinojosa, 2005; Mosbrugger et al., 2005; Jaramillo et al., 2006; Thomas, 2008). However the long-term cooling trend was not uniform, but with short reversals such as the Middle Eocene Climate Optimum (MECO) at 40-41 Ma (Bohaty and Zachos, 2003; Jovane et al., 2007; Bohaty et al., 2009). Diverse physicochemical and biologic causes would explain the transition from greenhouse to icehouse stages: changes in atmosphere greenhouse gas concentration (Pagani et al., 2005), oceanographic modifications and thermal isolation of Antarctica (De Conto and Pollard, 2003a, b; Huber et al., 2004; Cristini et al., 2012), constriction of Thetys and central America seaways (Zhang et al., 2011); mountain uplift and subsequent deeper weathering (Raymo and Ruddiman, 1992); enhanced burial of organic carbon (France-Lanord and Derry, 1997); alteration of insolation patterns and seasonality (Coxall et al., 2005); and the increase of carbon sequestration and CO2 consumption by hydrolytic weathering because the expansion of plants with phytoliths (Parr and Sullivan, 2005), grasslands and their soils (Retallack, 2001b, 2009).
Paleocene-Early Eocene warm-wet conditions in southern South America and Antarctic Peninsula are recorded in high-diversity floras (Troncoso et al., 2002; Wilf et al., 2005; Thorn and De Conto, 2006; Barreda and Palazzessi, 2007; Palazzesi and Barreda, 2007; Iglesias et al., 2011). Additional evidence of tropical-subtropical climate came from the Río Chico Group such as phytoliths and fossil woods (Brea et al., 2009; Raigemborn et al., 2009; and kaolinite-rich clay associations (Raigemborn et al., 2009), and from Uruguay ferricretes (Bellosi et al., 2004). The closest antecedent to the Cañadón Vaca study case is the Early-Middle Eocene Koluel-Kaike Formation (Rio Chico Group) which includes lateritized Ultisols (Krause et al., 2010a, b), formed under diverse forests testified by coniferous woods (Brea et al., 2009) and phytoliths coming from ten tropical families (A. Zucol, personal communication, 2012). Antarctic cooling episodes and probable ice cover since Early Eocene have been inferred from weathering indices and vegetation reconstruction (Passchier et al., 2013). This is coincident with the alpine glaciation and sea-ice formation in the Artic (Stickley et al., 2009).
The beginning of the Eocene cooling-drying does not have a precise chronology in the examples from Central Patagonia. It can be dated approximately at the time of the transition between Koluel-Kaike Formation and Cañadón Vaca Member. According to proposed ages, the environmental change started in the lower Middle Eocene, at ca. 47-45 Ma, probably related to the first ephemeral ice sheets on Antarctica at 49 Ma (Westerhold and Rohl, 2009). Cooler conditions in NW Patagonia are clearly expressed by the Middle-Late Eocene expansion of Nothofagus (Melendi et al, 2003; Barreda and Palazzesi, 2007). This climate shift was not accompanied in central Patagonia by modifications in relief or sediment supply (Bellosi, 2010b, Krause et al., 2010a). The first paleosol evidence of decreasing rainfall and temperature is preserved in the Koluel-Kaike Formation (Early-Middle Eocene), through the change from plinthite aquic Ultisols to vitric udic Andisols showing granular or near-mollic structure (Krause et al., 2010a). Mammal assemblage from this period (‘Riochican’ SALMA), mainly composed by the first time by notoungulates over marsupials, included the first high-crowned (protohypsodont) mixed-feeders, linked to initial grassland expansion (Ortiz Jaureguizar and Cladera, 2006). This trend is confirmed by the subsequent stage defined by the lower section of the Sarmiento Formation studied herein (Cañadón Vaca and Gran Barranca Members), which comprises the 45-38.5 Ma interval. This unit records the enduring eolian accumulation of fine-grained pyroclastics on loessic plains, ponds and subordinated and non-permanent rivers (Bellosi, 2010b). Soils formed on ash-rich substrates vary according to landscape persistence, from vitric Entisols to mollic Andisols and andic Alfisols. These paleosols developed in seasonal, subhumid and warm-temperate conditions (MAP 600-900 mm, MAT 12-10o C). ‘Barrancan’ (42-39 Ma) phytoliths, produced by palms, grasses, and subordinated sedges, dicot trees, shrubs and aquatic herbs, record an open mixed vegetal community similar to subtropical grass-dominated savannas and grasslands, dominated by panicoid taxa (Zucol et al., 2010). Primal rise of grassy habitats was favored by the particular advantage of grasses to settle in fecund young substrates and fresh sediments (Retallack, 2001b). This was probably the case of central Patagonia Middle Eocene, characterized by iterative ash falls transformed in fertile soils. Fossil calcareous soils or pedocals reflect dry climate with insufficient soil moisture to leach carbonate. The older calcic Andisol in Central Patagonia Paleogene is in the middle section of the GBM at Gran Barranca (Bellosi and González, 2010), dated in 39.86 Ma (Ré et al., 2010; Dunn et al., 2013), while the older andic Aridisol (Bellosi et al., 2002) occur in the Rosado Member (~38.3 Ma; Ré et al., 2010; Dunn et al., 2013). Both examples evidence xeric conditions since late Middle Eocene. This cooling-drying trend is also expressed by fossil Xenarthrans, since ‘Vacan’ ones lived in warmer environments than ‘Barrancan’ ones (Carlini et al., 2010).
Open grassy habitats extended originally in mid latitudes (44-46oS) of Central Patagonia during the Middle Eocene, as replace vegetation of subtropical forests owing to dryer and cooler conditions, the effect of fires (Bond et al., 2005) or by the expansion of grassy-patches in heterogeneous ecosystems (Strömberg, 2011). Woodburne et al. (2013) also noted that the middle Eocene global drop in temperatures after the EECO resulted in the development of more open areas with grasses. Bredenkamp et al. (2002) inferred a similar change in southern Africa. This process was simultaneous with diversification of open-habitat grasses in the Middle Eocene (Strömberg, 2011), probably responsible of the increased cursorial hervibore niches corresponding to the ‘Vacan’ fauna (Woodburne et al., 2013).
The advent of open grassy habitats in central Patagonia precedes in 7 m.y. the oldest increase in hypsodonty, detected in 23% of the Mustersan (38 Ma) notoungulates (Kay et al., 1999; Kohn et al., 2004; Madden et al., 2010). A similar diachrony but of opposite sense is observed in native mammals from North America Great Plains (Jardine et al., 2012). The Patagonian case would indicate that herbivores did not ingest grasses or were adapted to other source of dietary abrasives (Madden et al., 2010) such as grit or soil. The former alternative seems unlikely considering: 1. abundance and diversity of dung beetle brood balls in Middle Eocene-Early Miocene paleosols of the Sarmiento Formation (Bellosi et al., 2010; Sánchez et al., 2010a), and 2. high content of grass phytoliths added as dung fibers in beetle balls (Sánchez et al., 2010b). Therefore, an emerging question is how long did Patagonian mammals need to develop hypsodonty?
The negligible number of grass pollen in Paleogene-Early Neogene sequences of Patagonia seems to refute the existence of open grassy habitats (Palazzesi and Barreda, 2007, 2012), despite grasses were widespread in the end of the Eocene (Muller, 1981; Soreng and Davis, 1998). Grass pollen scarcity would be related to its rapid degradation and reduced preservation capability in dry or well-drained soils (Bryant et al., 1994). Paleosols of the lower Sarmiento Formation from Cañadón Vaca and Gran Barranca localities (Bellosi and González, 2010) demonstrate that such conditions prevailed in Central Patagonia since the Middle Eocene. Precisely, the expansion of grass-dominated habitats took place in dry periods (Wooller y Beuning, 2002).
5. Conclusions
Despite the chronologic adjustment of the studied succession pre-42 Ma is still deficient, the paleosol succession of the Sarmiento Formation at Cañadón Vaca suggests that Central Patagonia ecosystems supported a significant modification since the Middle Eocene (~45 Ma), through the expansion of open-herbaceous communities with grasses. This flora settled in fertile, ashy and non-calcic soils, with granular structure and abundant pellets, under subhumid, seasonal and warm-temperate conditions. Considering the evidence of wet subtropical forested landscapes preserved in the underlying Early Eocene Koluel-Kaike Formation, the Middle Eocene Sarmiento Formation constitutes a record of cooler and dryer environments linked to the beginning of the greenhouse-icehouse transition. Similar modi- fications in ecosystems were recognized in the Late Eocene (35 Ma) of Nebraska and the Early Oligocene (30 Ma) of Oregon (USA), according to the abundant grass phytoliths, cursorial and lophodont mixed browser-grazer mammals and granular calcic paleosols (Retallack et al., 2000; Janis et al., 2002; Strömberg, 2002, 2004; Retallack, 2009). Divergences in age between these regions must be explained. The most simple is that Patagonia was earlier affected by the post-EECO cooling trend due to proximity to Antarctica, the first continent that supported Cenozoic glaciation. But other geographic or global causes should be also investigated.
Acknowledgements
The authors gratefully acknowledge the cooperation of J. Genise, L. Sarzetti and M.V. Sánchez, and the assistance of P. Puerta in the field trip. This was financed by grant PICT 1972 (Agencia Nacional de Promoción Científica y Técnica, Argentina) to J. Genise. Additional support was provided by grant PICT 180 to J.M.K., the Museo Paleontológico Egidio Feruglio, the Consejo Nacional de Investigaciones Científicas y Técnicas (Argentina) and private contributions. M. González collaborated in paleosol studies. Consultations and suggestions to A. Carlini (Museo de La Plata) and A. Kramarz (MACN) enriched this work. Authors thank for reviewing the manuscript to L. Spalletti, and anonymous reviewer, and to the Andean Geology editor, L.E. Lara.
References
Albino, A.M. 1993. Snakes from the Paleocene and Eocene of Patagonia (Argentina): paleoecology and coevolution with mammals. Historical Biology 7: 51-69.
Ameghino, F. 1906. Les formations sedimentaires du Cretace superieur et du Tertiaire de Patagonie. Anales del Museo Nacional de Historia Natural 15: 1-568.
Andreis, R.R. 1977. Geología del área de Cañadón Hondo, Departamento Escalante, provincia del Chubut, república Argentina. Museo de La Plata, Obra del Centenario 4: 77-102.
Barreda, V.; Palazzesi, L. 2007. Patagonian vegetation turnovers during the Paleogene-Early Neogene: origin of arid-adapted floras. The Botanical Review 73: 31-50.
Bellosi, E. 2010a. Physical stratigraphy of the Sarmiento Formation (middle Eocene-lower Miocene) at Gran Barranca, central Patagonia. In The Paleontology of Gran Barranca: evolution and environmental change through the Middle Cenozoic of Patagonia (Madden, R.; Carlini, A.; Vucetich, M.; Kay, R.; editors). Cambridge University Press: 19-31. Cambridge.
Bellosi, E. 2010b. Loessic and fluvial sedimentation in Sarmiento Formation pyroclastics, middle Cenozoic of Central Patagonia. In The Paleontology of Gran Barranca: evolution and environmental change through the Middle Cenozoic of Patagonia (Madden, R.; Carlini, A.; Vucetich, M.; Kay, R.; editors). Cambridge University Press: 278-292. Cambridge.
Bellosi, E.; González, M. 2010. Paleosols of the middle Cenozoic Sarmiento Formation, central Patagonia. In The Paleontology of Gran Barranca: evolution and environmental change through the Middle Cenozoic of Patagonia (Madden, R.; Carlini, A.; Vucetich, M.; Kay, R.; editors). Cambridge University Press: 293-305. Cambridge.
Bellosi, E.; González, M.; Genise, J. 2004. Origen y desmantelamiento de lateritas paleógenas del sudoeste de Uruguay (Formación Asencio). Revista Museo Argentino de Ciencias Naturales 6: 25-40.
Bellosi, E.; Laza, J.; Sánchez, M.V.; Genise, J. 2010. Ichnofacies analysis of the Sarmiento Formation (middle Eocene-early Miocene) at Gran Barranca, central Patagonia. In The Paleontology of Gran Barranca: evolution and environmental change through the Middle Cenozoic of Patagonia (Madden, R.; Carlini, A.; Vucetich, M.; Kay, R.; editors). Cambridge University Press: 306-316. Cambridge.
Bellosi, E.; Miquel, S.; Kay, R.; Madden, R. 2002. Un paleosuelo mustersense con microgastrópodos terrestres (Charopidae) de la Formación Sarmiento, Eoceno de Patagonia central: significado paleoclimático. Ameghiniana 39: 465-477.
Bohaty, S.; Zachos, J. 2003. Significant Southern Ocean warming event in the Late Middle Eocene. Geology 31: 1017-1020.
Bohaty, S.; Zachos, J.; Florindo, F.; Delaney, M. 2009. Coupled greenhouse warming and deep-sea acidification in the middle Eocene. Paleoceanography 24 (PA2207). doi: 10.1029/2008PA001676.
Bond, W.J.; Woodward, F.I.; Midgley, G.F. 2005. The global distribution of ecosystems in a world without fire. New Phytologist 165: 525-538.
Brea, M.; Bellosi, E.S.; Krause, J.M. 2009. Taxaceoxylon katuatenkum sp. nov. en la Formación Koluel-Kaike (Eoceno inferior-medio), Chubut, Argentina: un componente de los bosques subtropicales paleógenos de Patagonia. Ameghiniana 46: 127-140.
Bredenkamp, G.; Spada, F.; Kazmierczak, E. 2002. On the origin of northern and southern hemisphere grasslands. Plant Ecology 163: 209-229.
Bryant, V.M.; Jr. Holloway, R.G.; Jones, J.G.; Carlson D.L. 1994. Pollen preservation in alkaline soils of the American Southwest. In Sedimentation of Organic Particles (Traverse, A.; editor) Cambridge University Press: 47-58. Cambridge.
Bullock, P.; Fedoroff, N.; Jongerius, A.; Stoops, G.; Tur- sina, T. 1985. Handbook for soil thin-section description. Waine Research Publications: 153 p. Albrighton.
Carlini, A.; Ciancio, M.; Scillato-Yané, G. 2005. Los Xenarthra de Gran Barranca: más de 20 Ma de historia. In Congreso Geológico Argentino, No. 16, Actas 4: 419-424. La Plata.
Carlini, A.; Ciancio, M.; Scillato-Yané, G. 2010. Middle Eocene-Early Miocene Dasypodidae (Xenarthra) of southern South America: faunal succession at Gran Barranca-biostratigraphy and paleoecology. In The Paleontology of Gran Barranca: evolution and environmental change through the Middle Cenozoic of Patagonia (Madden, R.; Carlini, A.; Vucetich, M.; Kay, R.; editors). Cambridge University Press: 106-129. Cambridge.
Chesworth, W. 1992. Weathering systems. In Weathering, soils and paleosols (Marini, I.; Chesworth, W.; editors). Developments in Earth surface processes 2: 19-40. Elsevier. Amsterdam.
Cifelli, R. 1985. Biostratigraphy of the Casamayoran, Early Eocene of Patagonia. American Museum Novitates 2820: 1-26.
Coxall, H.; Wilson, P.; Palike, H.; Lear, C.; Backman, J. 2005. Rapid stepwise onset of Antarctic glaciation and deeper calcite compensation in the Pacific Ocean. Nature 433: 53-57.
Cristini, L.; Grosfeld, K.; Butzin, M.; Lohmann, G. 2012. Influence of the opening of the Drake Passage on the Cenozoic Antarctic Ice Sheet: a modeling approach. Palaeogeography, Palaeoclimatology, Palaeoecology 339-341: 66-73.
de Broin, F.; de la Fuente, M. 1993. Les tortues fossiles d´Argentine: synthèse. Annales de Paléontologie (Invert.-Vert.) 79: 169-232.
De Conto, R.; Pollard, D. 2003a. A coupled climate-ice sheet modeling approach to the Early Cenozoic history of the Antarctic Ice Sheet. Palaeogeography, Palaeoclimatology, Palaeoecology 198: 39-53.
De Conto, R.; Pollard, D. 2003b. Rapid Cenozoic glaciation of Antarctica induced by declining atmospheric CO2. Nature 421: 245-249.
Dunn, R.; Madden, R.; Kohn, M.; Schmitz, M.; Strömberg, C.; Carlini, A.; Ré, G.; Crowley, J. 2013. A new high precision U-Pb chronology for middle Eocene-early Miocene South American Land Mammal Ages of the Sarmiento Formation, Gran Barranca, Chubut Province, Argentina. Geological Society of America, Bulletin 125: 539-555.
Feruglio, E. 1949. Descripción Geológica de la Patagonia. Dirección General de Yacimientos Petrolíferos Fiscales 2: 349 p. Buenos Aires.
France-Lanord, C.; Derry, L. 1997. Organic carbon burial forcing of the carbon cycle from Himalayan erosion. Nature 390: 65-67.
Gasparini, Z. 1972. Los Sebecosuchia (Crocodilia) del territorio argentino. Consideraciones sobre su ‘status’ taxonómico. Ameghiniana 9: 23-34.
Goin, F.; Gelfo, J.; Chornogubsky, L.; Woodburne, M.; Martin, T. 2012. Origins, radiations, and distribution of South American mammals: from greenhouse to icehouse worlds. In Bones, clones, and biomes: an 80-million year history of Recent Neotropical mammals (Patterson, B.; Costa, L.; editors). University of Chicago Press: 20-50.
Guo, Z.T.; Ruddiman, W.F.; Hao, Q.Z.; Wu, H.B.; Qiao, Y.S.; Zhu, R.X.; Peng, S.Z.; Wei, J.J.; Yuan, B.Y.; Liu, T.S. 2002. Onset of Asian desertification by 22 Myr ago inferred from loess deposits in China. Nature 416: 159-163. doi: 10.1038/416159a
Harris, J.; Van Couvering, J. 1995. Mock aridity and the paleoecology of volcanically influenced ecosystems. Geology 23: 593-596.
Hinojosa, L. 2005. Cambios climáticos y vegetacionales inferidos a partir de paleofloras cenozoicas del sur de Sudamérica. Revista Geológica de Chile 32 (1): 95-115.
Huber, M.; Brinkhuis, H.; Stickley, C.; Doos, K.; Sluijs, A.; Warnaar, J.; Schellenberg, S.; Williams, G. 2004. Eocene circulation of the Southern Ocean: was Antarctica kept warm by subtropical waters?. Paleoceanography 19 (4): (PA4026). doi: 10.1029/2004PA001014.
Iglesias, A.; Artabe, A.; Morel, E. 2011. The evolution of Patagonian climate and vegetation from the Mesozoic to the present. Biological Journal of the Linnean Society 103: 409-422.
Janis, C.M.; Damuth, J.; Theodor, J.M. 2002. The origins and evolution of the North American grassland biome: the story from the hoofed mammals. Palaeogeography, Palaeoclimatology, Palaeoecology 177: 183-198.
Jaramillo, C.; Rueda, M.; Mora, G. 2006. Cenozoic plant diversity in the Neotropics. Science 311: 1893-1896.
Jardine, P.; Janis, C.; Sarda Sahney, S.; Benton, M. 2012. Grit not grass: Concordant patterns of early origin of hypsodonty in Great Plains ungulates and glires. Palaeogeography, Palaeoclimatology, Palaeoecology 365-366: 1-10.
Jovane, L.; Florindo, F.; Coccioni, R.; Dinares-Turell, J.; Marsili, A.; Monechi, S.; Roberts, A.P.; Sprovieri, M. 2007. The middle Eocene climatic optimum event in the Contessa Highway Section, Umbrian Apennines, Italy. Geological Society of America Bulletin 119: 413-427.
Kay, R.; Madden, R.; Vucetich, M.G.; Carlini, A.; Mazzoni, M.; Ré, G.; Heizler, M.; Sandeman, H. 1999. Revised age of the Casamayoran South American Land Mammal Age: climatic and biotic implications. Proceedings of the National Academy of Sciences USA 96: 13235-13240.
Kohn, M.; Josef, J.; Madden, R.; Kay, R.; Vucetich, M.G.; Carlini, A. 2004. Climate stability across the Eocene-Oligocene transition, southern Argentina. Geology 32: 621-624.
Kraus, M. 1999. Paleosols in clastic sedimentary rocks. Earth Sciences Reviews 47: 41-70.
Krause, J.M.; Bellosi, E.S.; Iglesias, M. 2008. Niveles mangánicos en la Formación Koluel-Kaike (Eoceno, centro-sur de Chubut): una perspectiva paleopedoló- gica. In Reunión Argentina de Sedimentología, No. 12, Resumenes: p. 90. Buenos Aires.
Krause, J.M.; Bellosi, E.S.; Raigemborn, M.S. 2010a. Lateritized tephric paleosols from central Patagonia, Argentina: a southern high-latitude archive of Palaeogene global greenhouse conditions. Sedimentology 57: 1721-1749.
Krause, J.M.; Bellosi, E.S.; White, T.M.; Raigemborn, M.S. 2010b. Paleosuelos y paleoclimas del Paleoceno superior-Eoceno medio de la Cuenca San Jorge, Patagonia, Argentina. In Congreso Argentino de Paleontología y Bioestratigrafía, No. 10, y Congreso Latinoamericano de Paleontología, No. 7, Resúmenes: 63. La Plata.
Madden, R.; Kay, R.; Vucetich, M.G.; Carlini, A. 2010. Gran Barranca: a 23-million-year record of middle Cenozoic faunal evolution in Patagonia. In The Paleontology of Gran Barranca: evolution and environmental change through the Middle Cenozoic of Patagonia (Madden, R.; Carlini, A.; Vucetich, M.; Kay, R.; editors). Cambridge University Press: 423-439. Cambridge.
Markewich, H.; Pavich, M.; Buell, G. 1990. Contrasting soils and landscapes of the Piedmont and Coastal Plain, eastern United States. Geomorphology 3: 417-447.
Melendi, D.; Scafati, L.; Volkheimer, W. 2003. Palynostratigraphy of the Paleogene Huitrera Formation in N-W Patagonia, Argentina. Neues Jahrbuch für Geologie und Paläontologie-Abhandlungen 228: 205-273.
Miller, K.; Fairbanks, R.; Mountain, G. 1987. Tertiary oxygen isotope synthesis, sea level history, and continental margin erosion. Paleoceanography 2: 1-19.
Mosbrugger, V.; Utescher, T.; Dilcher, D. 2005. Cenozoic continental climatic evolution of Central Europe. Proceedings of the National Academy of Sciences 102: 14964-14969. USA.
Muller, J. 1981. Fossil pollen records of extant angiosperms. The Botanical Review 47: 1-142.
Munsell Color Company. 1975. Munsell Soil Color Chart. Baltimore.
Ortiz Jaureguizar, E.; Cladera, G. 2006. Paleoenvironmental evolution of southern South America during the Cenozoic. Journal of Arid Environments 66: 498-532.
Pagani, M.; Zachos, J.C.; Freeman, K.; Tipple, B.; Bohaty, S. 2005. Marked decline in atmospheric carbon dioxide concentrations during the Paleogene. Science 309: 600-603.
Palazzesi, L.; Barreda, V. 2007. Major vegetation trends in the Tertiary of Patagonia (Argentina): a qualitative paleoclimatic approach based on palynological evidence. Flora 202: 328-337.
Palazzesi L.; Barreda, V. 2012. Fossil pollen records reveal a late rise of open-habitat ecosystems in Patagonia. Nature Communications 3 (1294). doi: 10.1038/ncomms2299.
Parr, J.; Sullivan, L.A. 2005. Soil carbon sequestration in phytoliths. Soil Biology & Biochemistry 37: 117-124.
Passchier, S.; Bohaty, S.M.; Jiménez-Espejo, F.; Pross, J.; Röhl, U.; van de Flierdt, T.; Escutia, C.; Brinkhuis, H. 2013. Early Eocene to middle Miocene cooling and aridification of East Antarctica. Geochemistry, Geophysics, Geosystems. doi: 10.1002/ggge.20106.
Pascual, R; Ortiz Jaureguizar, E. 1990. Evolving climates and mammal faunas in Cenozoic South America. Journal of Human Evolution 19: 23-60.
Pearson, P.; McMillan, I.; Wade, B.; Dunkley Jones, T.; Coxall, H.; Bown, P.; Lear, C. 2008. Extinction and environmental change across the Eocene-Oligocene boundary in Tanzania. Geology 36: 179-182.
Piatnitzky, A. 1931. Observaciones estratigráficas sobre las Tobas con mamíferos del Terciario inferior en el valle del río Chubut. Boletín de Informaciones Petroleras 7 (85): 617-634.
Pol, D.; Leardi, J.M.; Lecuona, A.; Krause, M. 2012. Postcranial anatomy of Sebecus icaeorhinus (Crocodyliformes, Sebecidae) from the Eocene of Patagonia. Journal of Vertebrate Paleontology 32: 328-354.
Raigemborn, M.S.; Brea, M.; Zucol, A.; Matheos, S. 2009. Early Paleogene climate at mid latitude in South America: Mineralogical and paleobotanical proxies from continental sequences in Golfo San Jorge basin (Patagonia, Argentina). Geologica Acta 7: 125-145.
Raigemborn, M.S.; Krause, J.M.; Bellosi, E.S.; Matheos, S. 2010. Redefinición estratigráfica del Grupo Río Chico (Paleógeno Inferior), en el norte de la Cuenca del Golfo San Jorge, Chubut, Argentina. Revista de la Asociación Geológica Argentina 67: 239-256.
Raymo, M.; Ruddiman, W. 1992. Tectonic forcing of late Cenozoic climate. Nature 359: 117-122.
Ré, G.; Bellosi, E.S.; Heizler, M.; Vilas, J.; Madden, R.; Carlini, A.; Kay, R.; Vucetich, M.G. 2010. Geochron - ology for the Sarmiento Formation at Gran Barranca. In The Paleontology of Gran Barranca: evolution and environmental change through the Middle Cenozoic of Patagonia (Madden, R.; Carlini, A.; Vucetich, M.; Kay, R.; editors). Cambridge University Press: 46-59. Cambridge.
Retallack, G. 1994. A pedotype approach to latest Cretaceous and earliest Tertiary paleosols in eastern Montana. Geological Society of America, Bulletin 106: 1377-1397.
Retallack, G. 1997. Neogene expansion of the North American prairie. Palaios 12: 380-390.
Retallack, G. 2001a. Soils of the Past, 2nd edition. Blackwell Science, Ltd.: 404 p. London.
Retallack, G. 2001b. Cenozoic expansion of grasslands and climatic cooling. Journal of Geology 109: 407-426.
Retallack, G. 2009. Cenozoic cooling and grassland expansion in Oregon and Washington. PaleoBios 28: 89-113.
Retallack, G.; Bestland, E.; Fremd, T. 2000. Eocene and Oligocene paleosols of Central Oregon. Geological Society of America, Special Paper 344: 1-192.
Sánchez, M.V.; González, M.; Genise, J.F. 2010b. Phytolith analysis of Coprinisphaera, unlocking dung beetle behaviour, herbivore diets and palaeoenvironments along the Middle Eocene-Early Miocene of Patagonia. Palaeogeography, Palaeoclimatology, Palaeoecology 285: 224-236.
Sánchez, M.V.; Laza, J.; Bellosi, E.S.; Genise, J.F. 2010a. Ichnostratigraphy of middle Cenozoic Coprinisphaera from central Patagonia: insights into the evolution of dung beetles, herbivores and grass-dominated habitats. Palaeogeography, Palaeoclimatology, Palaeoecology 297: 633-648.
Schouten, S.; Eldrett, J.; Greenwood, D.; Harding, I.; Baas, M.; Sinninghe Damsté, J. 2008. Onset of long-term cooling of Greenland near the Eocene-Oligocene boundary as revealed by branched tetraether lipids. Geology 36: 147-150.
Sheldon, N.D. 2003. Pedogenesis and geochemical alteration of the Picture Gorge subgroup, Columbia River Basalt, Oregon. Geological Society of America Bulletin 115: 1377-1387.
Simpson, G.G. 1932. The supposed association of dinosaurs with mammals of Tertiary type in Patagonia. American Museum Novitates 566: 1-21.
Simpson, G.G. 1933. A new fossil snake from the Notostylops beds of Patagonia. Bulletin of the American Museum of Natural History 67: 1-22.
Simpson, G.G. 1941. The Eogene of Patagonia. American Museum Novitates 1120: 1-15.
Soil Survey Staff. 1998. Keys to soil taxonomy. Pocahontas Press: 869 p. Blacksburg.
Soil Survey Staff. 1999. Soil Taxonomy, a basic system for making and interpreting soil surveys. United States Department of Agriculture, Handbook: 436 p. Washington.
Soreng, R.J.; Davis, J.I. 1998. Phylogenetics and character evolution in the grass family (Poaceae): simultaneous analysis of morphological and chloroplast DNA restriction site character sets. The Botanical Review 64: 1-85.
Spalletti, L.A.; Mazzoni, M.M. 1979. Estratigrafía de la Formación Sarmiento en la barranca sur del lago Colhue-Huapi, provincia del Chubut. Revista de la Asociación Geológica Argentina 34: 271-281.
Suárez, M.; Márquez, M.; de la Cruz, R.; Fanning, M. 2011. Edades shrimp de la Formación Sarmiento en la Cuenca del Golfo de San Jorge, Argentina: puntos de referencia para el análisis de su desarrollo. In Congreso Geológico Argentino, No. 18, Actas, CD Rom. Neuquén.
Stickley, C.; St. John, K.; Koç, N.; Jordan, R.W.; Passchier, S.; Pearce, R.; Kearns, L. 2009. Evidence for middle Eocene Arctic sea ice from diatoms and ice-rafted debris. Nature 460: 376-379.
Strömberg, C. 2002. The origin and spread of grass-dominated ecosystems in the late Tertiary of North America: preliminary results concerning the evolution of hypsodonty. Palaeogeography, Palaeoclimatology, Palaeoecology 177: 59-75
Strömberg, C. 2004. Using phytolith assemblages to reconstruct the origin and spread of grass-dominated habitats in the great plains of North America during the late Eocene to early Miocene. Palaeogeography, Palaeoclimatology, Palaeoecology 207: 239-275.
Strömberg, C. 2011. Evolution of grasses and grassland ecosystems. Annual Review Earth Planetary Sciences 39: 517-544.
Thomas, E. 2008. Descent into the Icehouse. Geology 36: 191-192.
Thorn, V.; DeConto, R. 2006. Antarctic climate at the Eocene/Oligocene boundary-climate model sensitivity to high latitude vegetation type and comparisons with the palaeobotanical record. Palaeogeography, Palaeoclimatology, Palaeoecology 231: 134-157.
Townsend, K.; Rasmussen, D.; Murphey, P.; Evanoff, E. 2010. Middle Eocene habitat shifts in the North Ameri-can western interior: a case study. Palaeogeography, Palaeoclimatology, Palaeoecology 297: 144-158.
Tripati, A.; Backman, J.; Elderfield, H.; Ferretti, P. 2005. Eocene bipolar glaciation associated with global carbon cycle changes. Nature 436: 341-346.
Troncoso, A.; Suárez, M.; De la Cruz, R.; Palma-Heldt, S. 2002. Paleoflora de la Formación Ligorio Márquez (XI Región, Chile) en su localidad tipo: sistemática, edad e implicancias paleoclimáticas. Revista Geológica de Chile 29 (1): 113-135.
Westerhold, T.; Rohl, U. 2009. High resolution cyclostratigraphy of the early Eocene-new insights into the origin of the Cenozoic cooling trend. Climate of the Past 5: 309-327.
Wilf, P.; Johnson, K.; Cúneo, R.; Smith, E.; Singer, S.; Gandolfo, M. 2005. Eocene plant diversity at Laguna del Hunco and Río Pichileufú, Patagonia, Argentina. American Naturalist 165: 634-650.
Woodburne, M.; Goin, F.; Bond, M.; Carlini, A.; Gelfo, J.; López, G.; Iglesias, A.; Zimicz, A. 2013. Paleogene land mammal faunas of South America; a response to global climatic changes and indigenous floral diversity. Journal of Mammalian Evolution. doi: 10.1007/s10914-012-9222-1.
Wooller, M.; Beuning, K. 2002. Introduction to the reconstruction and modeling of grass-dominated ecosystems. Palaeogeography, Palaeoclimatology, Palaeoecology 177: 1-3.
Zachos, J.; Pagani, M.; Sloan, L.; Thomas, E.; Billups, K. 2001. Trends, rhythms, and aberrations in global climate 65 Ma to present. Science 292: 686-692.
Zhang, Z.; Nisancioglu, K.; Flatøy, F.; Bentsen, M.; Bethke, I.; Wang, H. 2011. Tropical seaways played a more important role than high latitude seaways in Cenozoic cooling. Climate of the Past 7: 801-813.
Zucol, A.; Brea, M.; Bellosi, E.S. 2010. Phytolith analysis in Gran Barranca (central Patagonia): the middle-late Eocene. In The Paleontology of Gran Barranca: evolution and environmental change through the Middle Cenozoic of Patagonia (Madden, R.; Carlini, A.; Vucetich, M.; Kay, R.; editors). Cambridge University Press: 317-340. Cambridge.

